Open Access
Fig. 6

Download original image
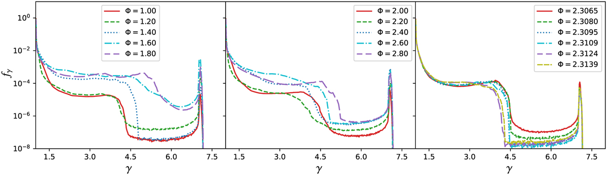
Distribution function of the relativistic gamma factor fγ within the orbital domain at different phases as indicated in the plots. Here, we show results for the second orbit (left), for the third orbit (middle), and also for the same short time interval as visualised in Fig. 2 (right).
Current usage metrics show cumulative count of Article Views (full-text article views including HTML views, PDF and ePub downloads, according to the available data) and Abstracts Views on Vision4Press platform.
Data correspond to usage on the plateform after 2015. The current usage metrics is available 48-96 hours after online publication and is updated daily on week days.
Initial download of the metrics may take a while.