Open Access
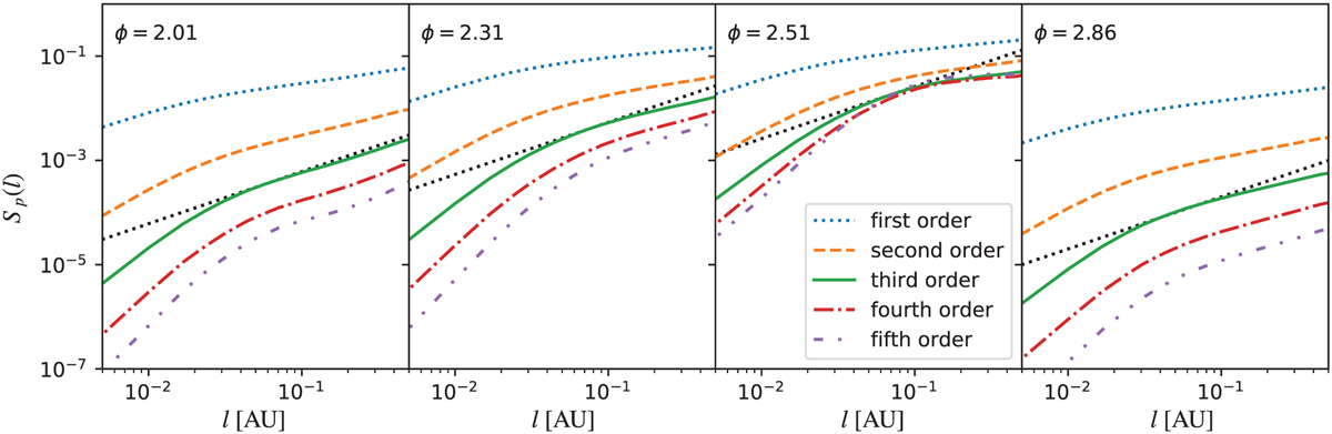
Fig. 7

Download original image
Structure functions at four different orbital phases as indicated in the figures. For comparison, we show a linear function by the black dotted line. By our normalisation, the structure functions are given in units of cp.
Current usage metrics show cumulative count of Article Views (full-text article views including HTML views, PDF and ePub downloads, according to the available data) and Abstracts Views on Vision4Press platform.
Data correspond to usage on the plateform after 2015. The current usage metrics is available 48-96 hours after online publication and is updated daily on week days.
Initial download of the metrics may take a while.