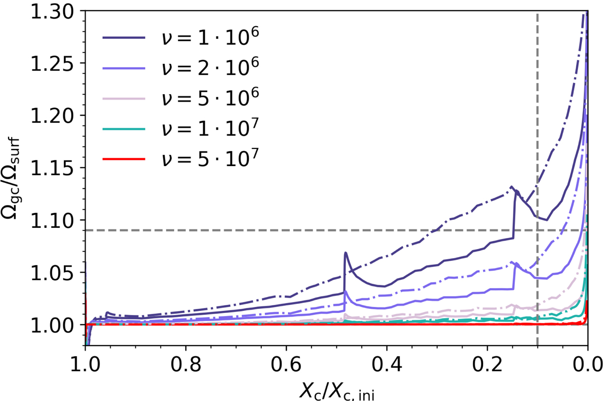
Fig. 4.

Download original image
Predicted ratio of the g-mode cavity rotation frequency over the surface rotation frequency as a function of evolution for the best-matching model of KIC10080943(A) listed in Table 2. In these models, AM transport is modelled by a constant uniform viscosity, which is shown in the legend (in cm2 s−1). The solid lines are for (Ω/Ωc)i = 0.1, and the dashed-dotted lines are for (Ω/Ωc)i = 0.4. The observed core-to-surface rotation of 1.09 by Schmid & Aerts (2016) is shown by a grey dashed line. The vertical grey dashed line marks the age of the best-matching model.
Current usage metrics show cumulative count of Article Views (full-text article views including HTML views, PDF and ePub downloads, according to the available data) and Abstracts Views on Vision4Press platform.
Data correspond to usage on the plateform after 2015. The current usage metrics is available 48-96 hours after online publication and is updated daily on week days.
Initial download of the metrics may take a while.