Fig. 8.

Download original image
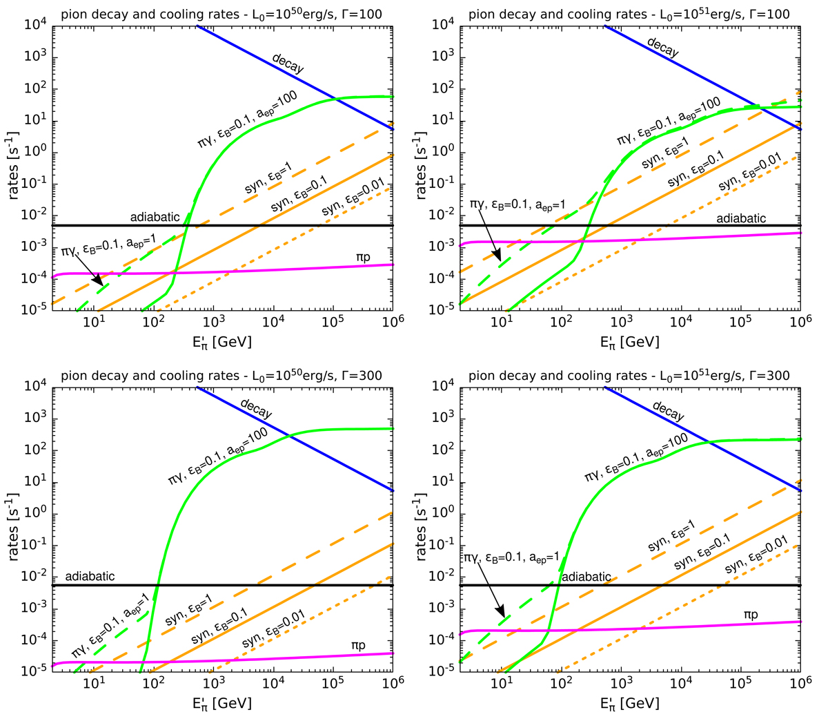
Pion decay and cooling rates for L0 = 1050 erg s−1 (left panel) and L0 = 1051 erg s−1 (right panel). The top panels correspond to Γ = 100 and the bottom ones to Γ = 300. The blue curves correspond to the pion decay rate, and the green curves represent the πγ interaction with external and internal photons with aep = 1 (dashed lines) and with aep = 100 (solid lines). The pion synchrotron cooling is marked with orange curves for ϵB = 0.01 (short-dashed lines), ϵB = 0.1 (solid lines), and ϵB = 1 (long-dashed lines). The solid black curves mark the adiabatic cooling rate.
Current usage metrics show cumulative count of Article Views (full-text article views including HTML views, PDF and ePub downloads, according to the available data) and Abstracts Views on Vision4Press platform.
Data correspond to usage on the plateform after 2015. The current usage metrics is available 48-96 hours after online publication and is updated daily on week days.
Initial download of the metrics may take a while.