Fig. 14

Download original image
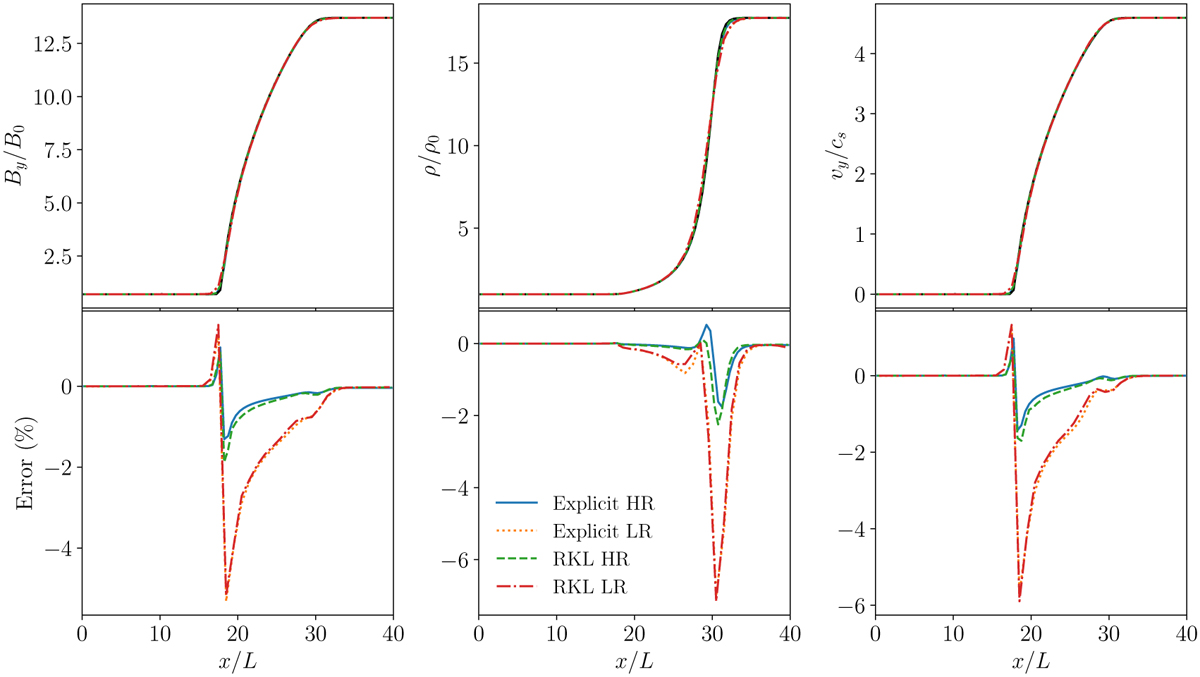
Ambipolar isothermal C-shock integrated at high resolution (HR, 2 points/L) and low resolution (LR, 1 point/L) and using the explicit or RKL second-order time integrators for parabolic terms. Top: Magnetic field, density, and velocity field across the shock (the black line denotes the analytical solution). Bottom: L1 error (in %) for each field.
Current usage metrics show cumulative count of Article Views (full-text article views including HTML views, PDF and ePub downloads, according to the available data) and Abstracts Views on Vision4Press platform.
Data correspond to usage on the plateform after 2015. The current usage metrics is available 48-96 hours after online publication and is updated daily on week days.
Initial download of the metrics may take a while.