Open Access
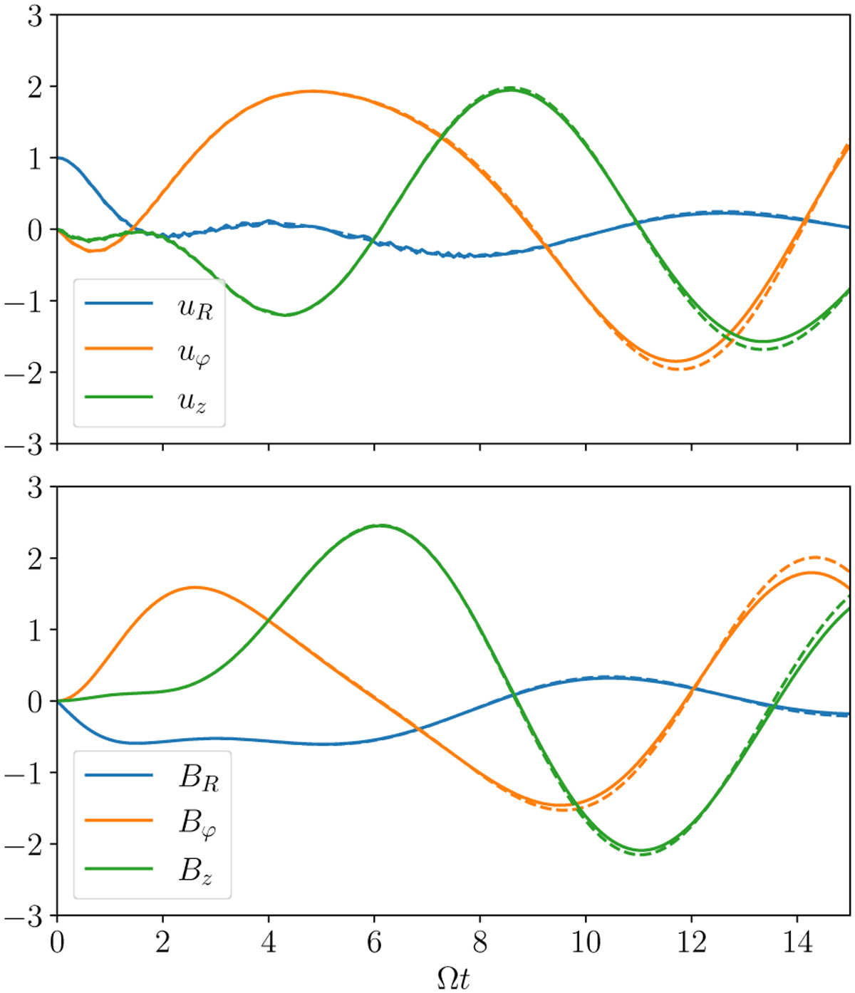
Fig. 17

Download original image
Temporal evolution of the velocity (top) and magnetic (bottom) components of the MHD Keplerian shearing wave problem of Balbus & Hawley (2006). The analytical solution is the dashed line, while the IDEFIX solution computed with 2563 points is shown as a plain line.
Current usage metrics show cumulative count of Article Views (full-text article views including HTML views, PDF and ePub downloads, according to the available data) and Abstracts Views on Vision4Press platform.
Data correspond to usage on the plateform after 2015. The current usage metrics is available 48-96 hours after online publication and is updated daily on week days.
Initial download of the metrics may take a while.