Open Access
Fig. 6

Download original image
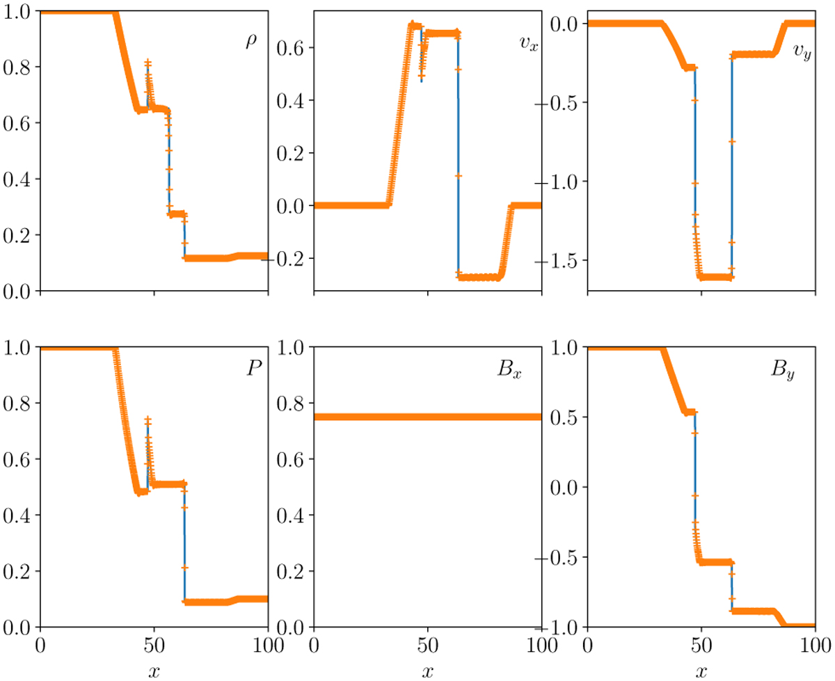
Brio & Wu (1988) adiabatic MHD shock test. IDEFIX solution (orange cross) was computed using the Roe solver with 500 points and linear reconstruction while the reference solution (blue line) was computed with Pluto 4.3 using 8000 points.
Current usage metrics show cumulative count of Article Views (full-text article views including HTML views, PDF and ePub downloads, according to the available data) and Abstracts Views on Vision4Press platform.
Data correspond to usage on the plateform after 2015. The current usage metrics is available 48-96 hours after online publication and is updated daily on week days.
Initial download of the metrics may take a while.