Fig. 2.

Download original image
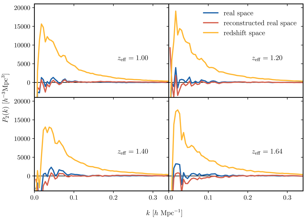
Quadrupole moments of the galaxy-galaxy power spectrum in each redshift bin of the Flagship mock, measured in redshift space (yellow), real space (blue) and after applying reconstruction to remove RSD from the galaxy positions (red). Reconstruction was performed using the fiducial values of βfid listed in Table 1 and using smoothing scales Rs of 8 and 9 h−1Mpc for the first two and last two bins, respectively. The similarity of the red and blue lines and their proximity to zero is because reconstruction is successfully removing the large-scale RSD-induced anisotropy in the galaxy positions.
Current usage metrics show cumulative count of Article Views (full-text article views including HTML views, PDF and ePub downloads, according to the available data) and Abstracts Views on Vision4Press platform.
Data correspond to usage on the plateform after 2015. The current usage metrics is available 48-96 hours after online publication and is updated daily on week days.
Initial download of the metrics may take a while.