Fig. 3.

Download original image
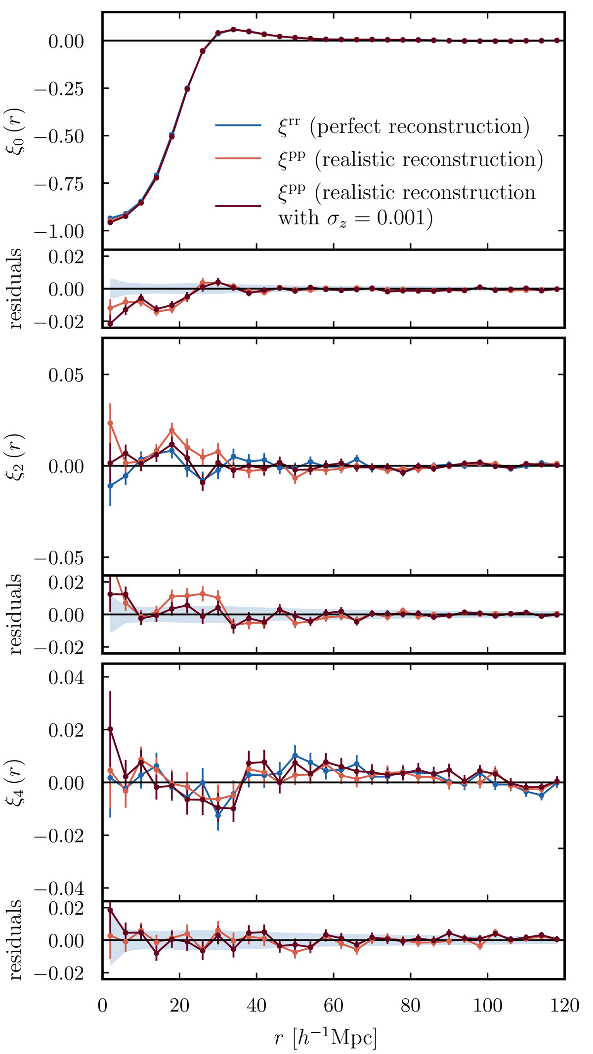
Void-galaxy CCF in real space, measured in the Flagship simulation zeff = 1.0 redshift bin. From top to bottom, the panels show the monopole, quadrupole and hexadecapole moments of the CCF. The multipoles of ξrr, corresponding to the perfect reconstruction scenario and measured using the true real-space positions are shown in blue, while light and dark red respectively show the multipoles of ξpp obtained using reconstruction without and with redshift errors. The inset panels show the residuals with respect to the perfect reconstruction case of for each multipole. In all cases ξ2 and ξ4 are close to zero, indicating that reconstruction successfully removes orientation-dependent selection bias.
Current usage metrics show cumulative count of Article Views (full-text article views including HTML views, PDF and ePub downloads, according to the available data) and Abstracts Views on Vision4Press platform.
Data correspond to usage on the plateform after 2015. The current usage metrics is available 48-96 hours after online publication and is updated daily on week days.
Initial download of the metrics may take a while.