Fig. 6.

Download original image
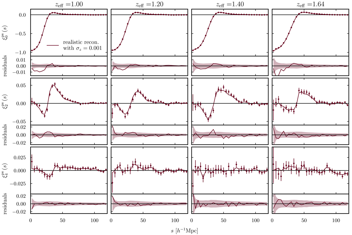
Measured multipole moments of the redshift-space void-galaxy CCF, , for realistic reconstruction applied to the catalogue including redshift errors, are shown as the data points. Error bars shown are determined from the diagonal entries of the covariance matrix Cdata. The solid lines show the corresponding best-fit models, and insets show the residuals of the model with respect to the data. The rows correspond to (from top to bottom) the monopole, quadrupole and hexadecapole moments (ℓ = 0, 2, 4). Columns correspond to the different redshift bins, labelled with the effective redshift zeff.
Current usage metrics show cumulative count of Article Views (full-text article views including HTML views, PDF and ePub downloads, according to the available data) and Abstracts Views on Vision4Press platform.
Data correspond to usage on the plateform after 2015. The current usage metrics is available 48-96 hours after online publication and is updated daily on week days.
Initial download of the metrics may take a while.