Fig. 5.

Download original image
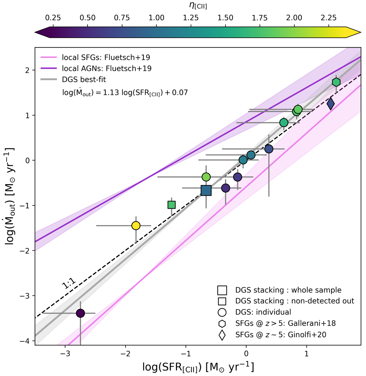
Atomic outflow rate as a function of the SFR, for both individual detections of broad wings (circles) and from line stacking of the whole sample and of the sources with non-detected outflow (big and small squares, respectively). The pink and violet lines are the best-fit relations between molecular outflow rate and SFR for local AGN hosts and star-forming/starburst galaxies by Fluetsch et al. (2019), respectively, while the shaded regions are the corresponding uncertainties. The solid gray line with the shaded area represents a linear fit to the DGS galaxies with individual outflow detections and its uncertainty, respectively. The dashed line reports the 1:1 relation. We also show the results from [CII] stacking of z ≳ 5 SFGs by Gallerani et al. (2018; hexagon) and Ginolfi et al. (2020; diamond). All markers are color-coded for their mass-loading factors.
Current usage metrics show cumulative count of Article Views (full-text article views including HTML views, PDF and ePub downloads, according to the available data) and Abstracts Views on Vision4Press platform.
Data correspond to usage on the plateform after 2015. The current usage metrics is available 48-96 hours after online publication and is updated daily on week days.
Initial download of the metrics may take a while.