Fig. 3.

Download original image
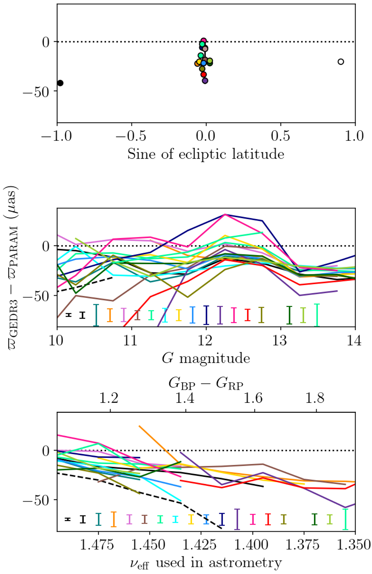
Global trends for our parallax zero points as a function of the three quantities defining the L21 correction. Top: Median parallax offsets estimated from asteroseismology (E20+APOGEE) as a function of the sine of ecliptic latitude. Kepler and TESS are plotted as white and black symbols, respectively. The coloured symbols correspond to the various K2 fields, and follow the colour scheme adopted in Fig. 1. Middle and bottom: Median parallax difference binned by G magnitude (middle) and effective wavenumber (bottom). Kepler and TESS are plotted as black solid and dashed lines, respectively. The median uncertainty on the parallax difference is shown in the lower part of each panel. C15 does not appear in the two bottom panels as there are not enough stars to bin in G and νeff.
Current usage metrics show cumulative count of Article Views (full-text article views including HTML views, PDF and ePub downloads, according to the available data) and Abstracts Views on Vision4Press platform.
Data correspond to usage on the plateform after 2015. The current usage metrics is available 48-96 hours after online publication and is updated daily on week days.
Initial download of the metrics may take a while.