Fig. 6

Download original image
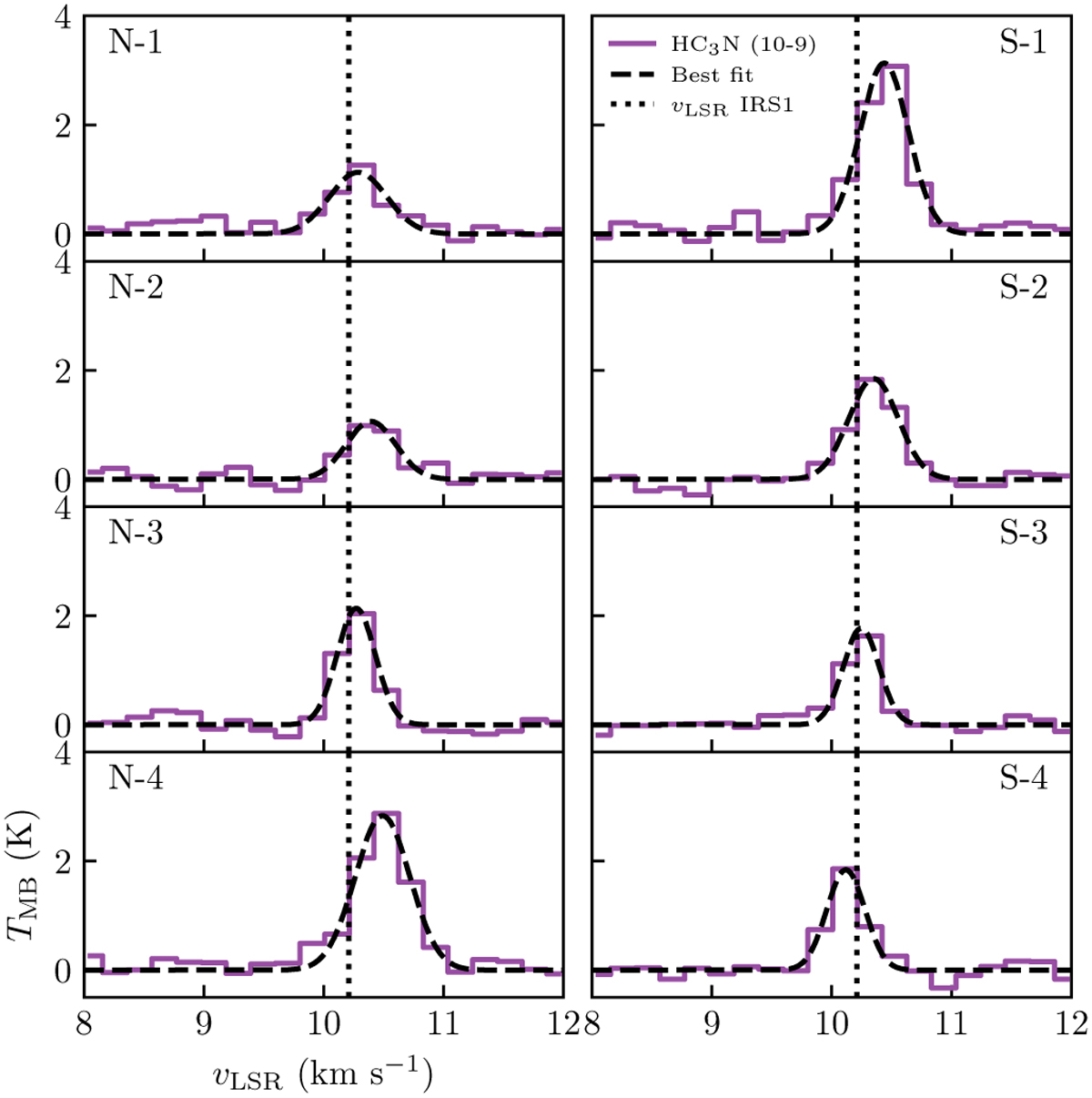
HC3N(10 − 9) spectra at selected locations within both filaments, ordered in position from north to south. Fil-1 spectra, labeled N-X, are on the left column and Fil-2 spectra, labeled S-X, are on the right. Purple lines show the spectra, whereas black curves show the best fit Gaussian curve for each. The dotted vertical line represents the pro-tostar’s vLSR.
Current usage metrics show cumulative count of Article Views (full-text article views including HTML views, PDF and ePub downloads, according to the available data) and Abstracts Views on Vision4Press platform.
Data correspond to usage on the plateform after 2015. The current usage metrics is available 48-96 hours after online publication and is updated daily on week days.
Initial download of the metrics may take a while.