Open Access
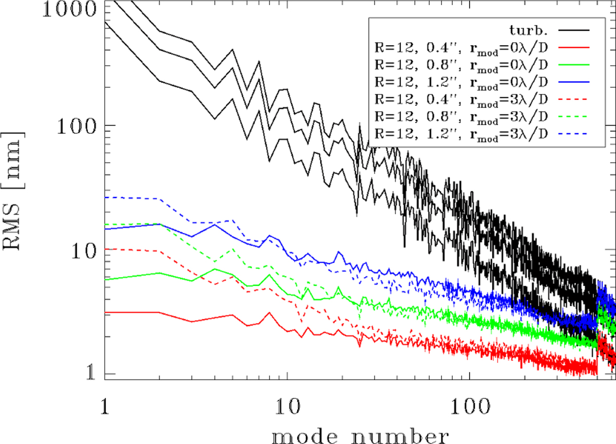
Fig. 13

Download original image
Turbulence (black lines) and residuals (colored lines) modal RMS amplitudes for a NGS of magnitude R = 12, different seeing values and for a non-modulated and modulated (modulation radius of 3λ/D, dashed lines) PWFS. Sub-aperture size is 0.2 m and 500 modes are corrected. Refers to the 8 m-class telescope case.
Current usage metrics show cumulative count of Article Views (full-text article views including HTML views, PDF and ePub downloads, according to the available data) and Abstracts Views on Vision4Press platform.
Data correspond to usage on the plateform after 2015. The current usage metrics is available 48-96 hours after online publication and is updated daily on week days.
Initial download of the metrics may take a while.