Fig. 17

Download original image
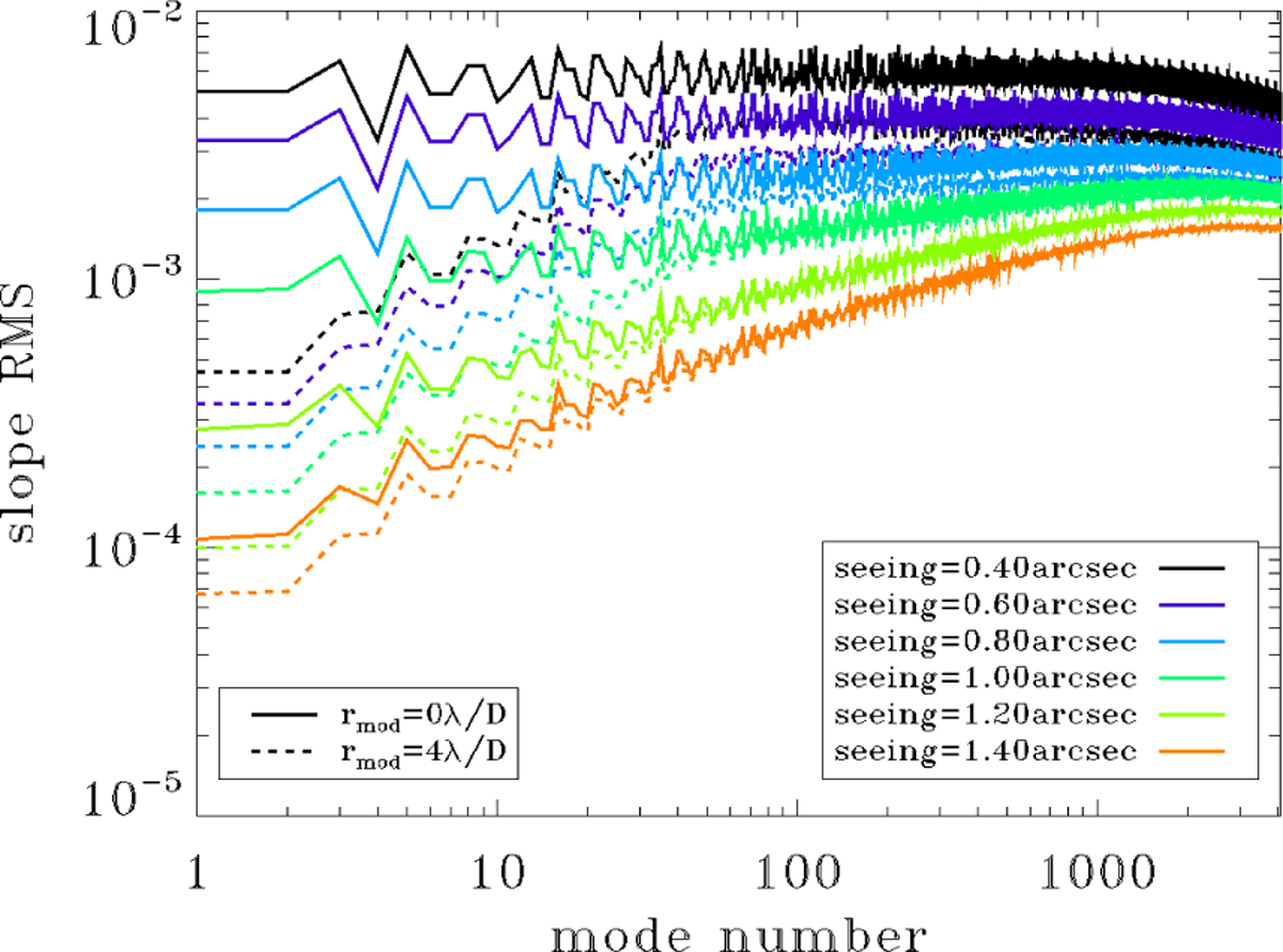
ELT PWFS sensitivity in partial correction as a function of mode number and seeing value expressed as the RMS of the slope for an aberration with a wavefront RMS of 1nm. Mode 1 is tip, 2 is tilt, and the other modes are Karhunen–Loève modes. Solid lines correspond to a non-modulated PWTS and dashed lines correspond to a PWFS with a modulation radius of 4λ/D. Sub-aperture size of 0.433 m. Refers to the ELT case.
Current usage metrics show cumulative count of Article Views (full-text article views including HTML views, PDF and ePub downloads, according to the available data) and Abstracts Views on Vision4Press platform.
Data correspond to usage on the plateform after 2015. The current usage metrics is available 48-96 hours after online publication and is updated daily on week days.
Initial download of the metrics may take a while.