Fig. 8

Download original image
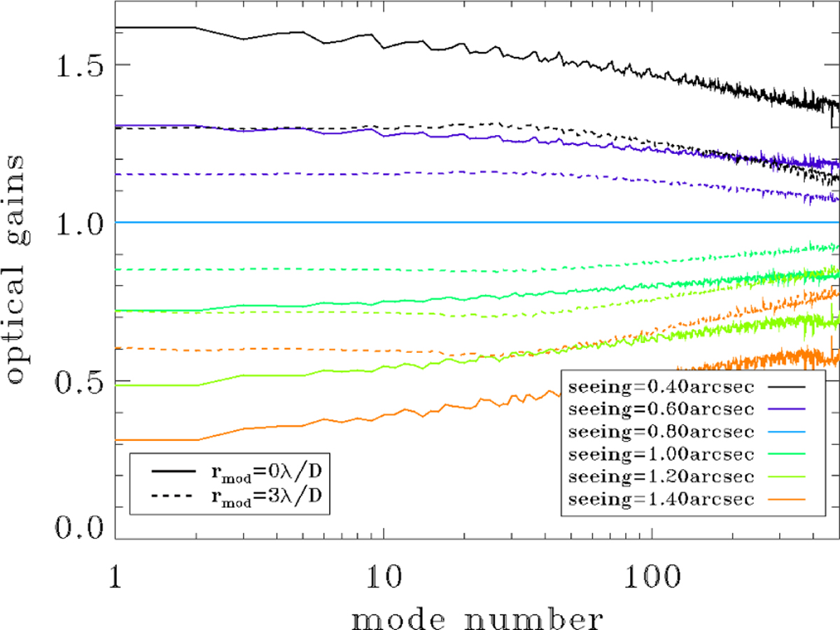
Modal optical gains for the PWFS calibrated in partial correction with a seeing value of 0.8arcsec. Mode 1 is tip, 2 is tilt, and the other modes are Karhunen-Loève modes. Solid lines correspond to a non-modulated PWFS and dashed lines correspond to a PWFS with a modulation radius of 3λ/D. Refers to the 8 m-class telescope case.
Current usage metrics show cumulative count of Article Views (full-text article views including HTML views, PDF and ePub downloads, according to the available data) and Abstracts Views on Vision4Press platform.
Data correspond to usage on the plateform after 2015. The current usage metrics is available 48-96 hours after online publication and is updated daily on week days.
Initial download of the metrics may take a while.