Fig. 17

Download original image
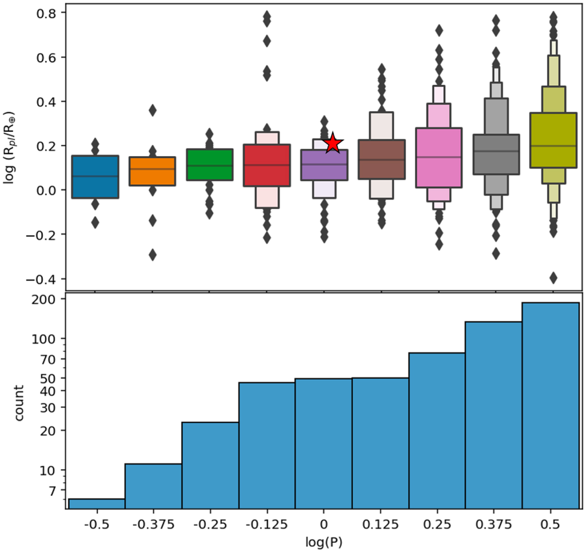
Distributions of small planets of log R/R⊕ < 0.8 (or R/R⊕ < 6.3) and with periods shorter than 3.6 days, after categorizing their population into bins with a width of log P(day) = 0.125. Top panel: Distribution of planet radii against the orbital period. The distributions are shown as “boxenplots” or “letter value plots” (Hofmann et al. 2011). TOI-1416 b is indicated by the red star. Bottom panel: Counts of the small planets versus the same bins in orbital period.
Current usage metrics show cumulative count of Article Views (full-text article views including HTML views, PDF and ePub downloads, according to the available data) and Abstracts Views on Vision4Press platform.
Data correspond to usage on the plateform after 2015. The current usage metrics is available 48-96 hours after online publication and is updated daily on week days.
Initial download of the metrics may take a while.