Fig. 2

Download original image
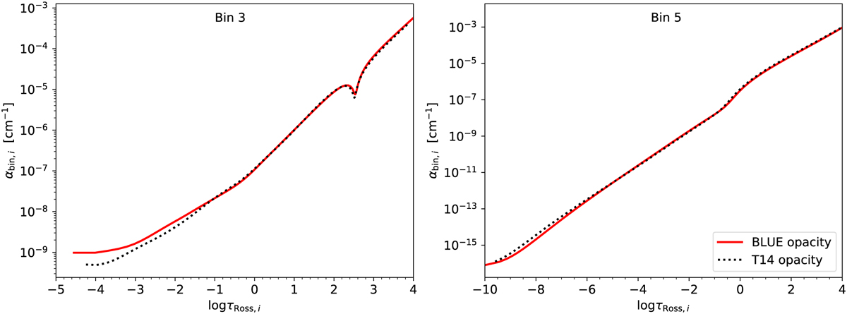
Bin-averaged extinction coefficients (Eq. (6)) as a function of the bin-wise Rosseland optical depth of bins 3 and 5 (as defined in Fig. 1) based on the (3D) sunA09 model. The bin-wise Rosseland optical depth τRoss,i is computed from wavelengths belonging to bin i. Extinction coefficients calculated from the binning code implemented in Trampedach et al. (2013) with the Trampedach et al. (2014) opacity dataset are shown in black dotted lines, whereas red solid lines represent αbin,i used in this work.
Current usage metrics show cumulative count of Article Views (full-text article views including HTML views, PDF and ePub downloads, according to the available data) and Abstracts Views on Vision4Press platform.
Data correspond to usage on the plateform after 2015. The current usage metrics is available 48-96 hours after online publication and is updated daily on week days.
Initial download of the metrics may take a while.