Fig. 3

Download original image
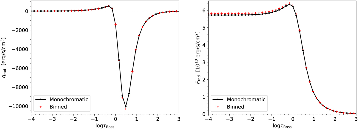
Radiative heating (or cooling) rate and radiative flux computed based on the (3D) sunA09 model. Left panel: comparison of the radiative heating (or cooling) rate computed from the 12 opacity bins shown in Fig. 1 (red plus mark) with the monochromatic solution using 250 000 wavelengths (black solid line) for the (3D) sunA09 model. The relative difference of qrad at the cooling peak is 2.42%. Right panel: comparison between radiative flux obtained from the opacity binning method and the monochromatic solution. The relative difference of surface flux (defined as the radiative flux at log τRoss = −4) is 1.49%.
Current usage metrics show cumulative count of Article Views (full-text article views including HTML views, PDF and ePub downloads, according to the available data) and Abstracts Views on Vision4Press platform.
Data correspond to usage on the plateform after 2015. The current usage metrics is available 48-96 hours after online publication and is updated daily on week days.
Initial download of the metrics may take a while.