Fig. 5

Download original image
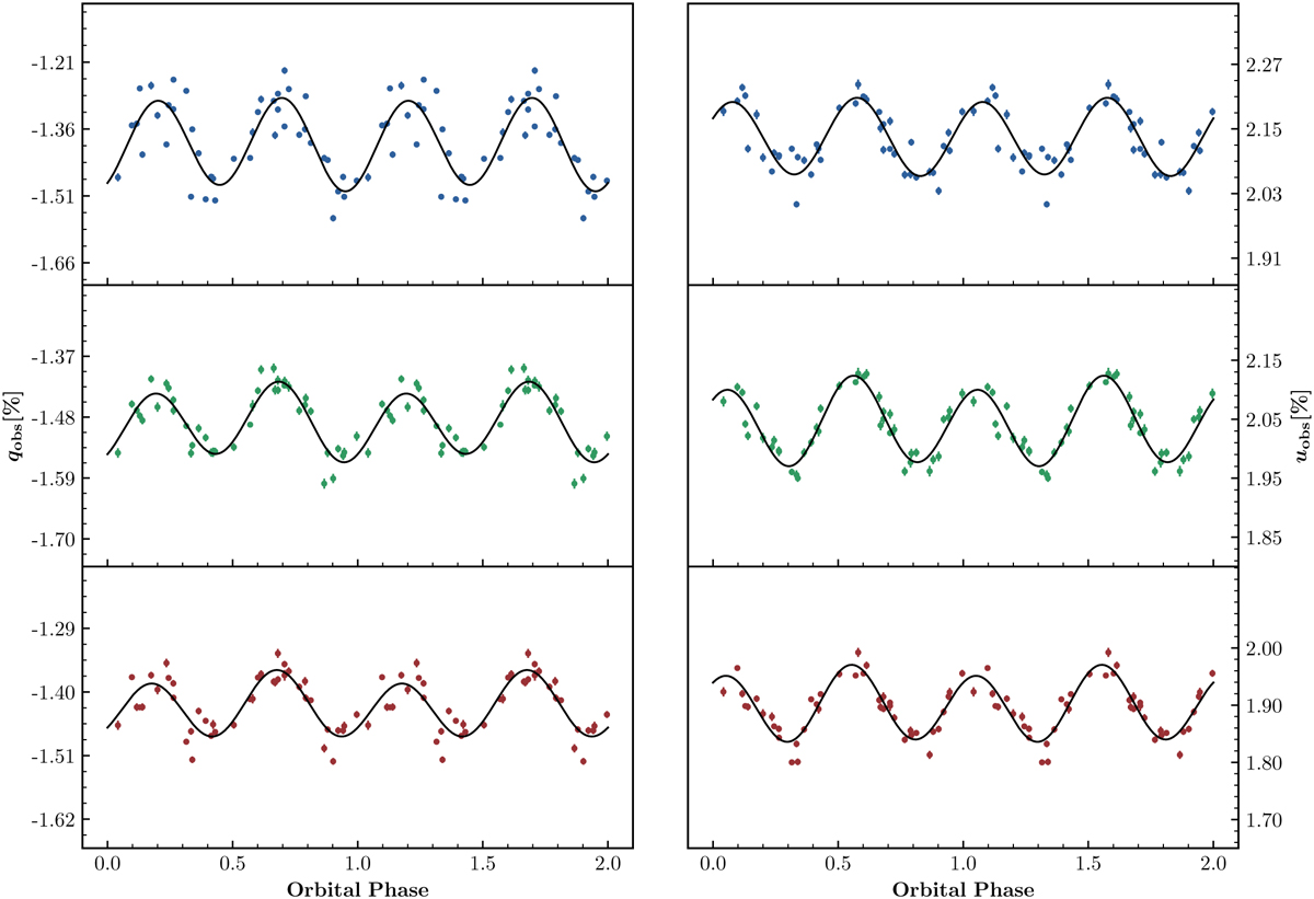
Variability of observed Stokes parameters q and u for DH Cep in B, V, and R passbands (top, middle, and bottom panels respectively) phase-folded with the orbital period of 2.11 d. Fourier fit curves (see Sect. 3.3) are shown with solid lines, and the best-fit Fourier coefficients are given in Table 4. The error bars correspond to ±σ errors.
Current usage metrics show cumulative count of Article Views (full-text article views including HTML views, PDF and ePub downloads, according to the available data) and Abstracts Views on Vision4Press platform.
Data correspond to usage on the plateform after 2015. The current usage metrics is available 48-96 hours after online publication and is updated daily on week days.
Initial download of the metrics may take a while.