Fig. 1.

Download original image
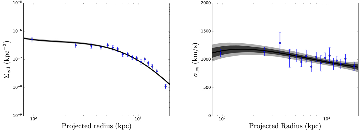
Example fits of projected galaxy number density profiles and line-of-sight velocity dispersion profiles. The cluster shown here is A0085. The galaxy surface number density profile is fit with three Plummer spheres, which are then used as input in the projected Jeans equation. The line-of-sight velocity dispersion profile is used to determine the total mass profile, parameterized using the cNFWt profile with six parameters. Dark and light shadow regions show the 1σ and 2σ confidence intervals, respectively.
Current usage metrics show cumulative count of Article Views (full-text article views including HTML views, PDF and ePub downloads, according to the available data) and Abstracts Views on Vision4Press platform.
Data correspond to usage on the plateform after 2015. The current usage metrics is available 48-96 hours after online publication and is updated daily on week days.
Initial download of the metrics may take a while.