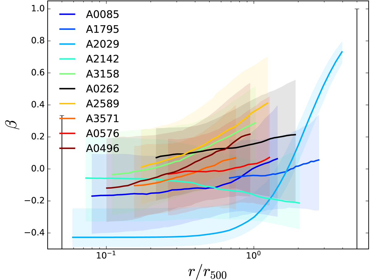
Fig. 4.

Download original image
Radial distributions of velocity anisotropy parameter β for the ten undisturbed clusters. Lightly shaded regions show the 1σ confidence intervals. The mean values of β are consistent with an isotropic velocity distribution within the errors at small radii, while at large radii the velocity anisotropies are clearly presented in spite of the large errors. The two big error bars at small and large radii represent the allowed ranges set by the priors on β0 and β∞, respectively. The lower boundary is −0.5 at all radii.
Current usage metrics show cumulative count of Article Views (full-text article views including HTML views, PDF and ePub downloads, according to the available data) and Abstracts Views on Vision4Press platform.
Data correspond to usage on the plateform after 2015. The current usage metrics is available 48-96 hours after online publication and is updated daily on week days.
Initial download of the metrics may take a while.