Fig. 1

Download original image
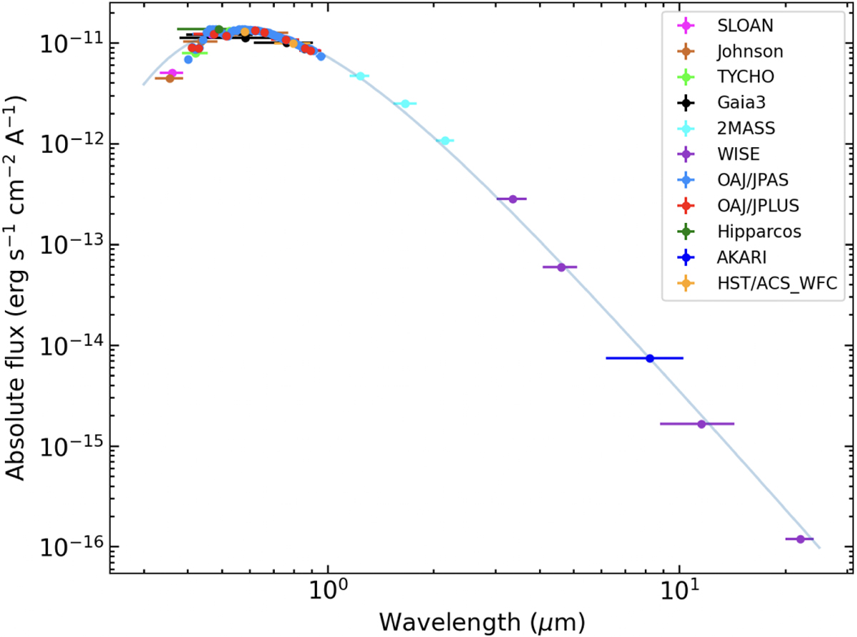
Photometric spectral energy distribution of HD 235088 (circles) from 0.3 through ~25 µm. A black-body source with a temperature of 5050 K (solid line) is added for the sole purpose of demonstrating that all fluxes are photospheric in origin and there are no infrared flux excesses at long wavelengths. Vertical error bars denote flux uncertainties and horizontal error bars account for the width of the photometric passbands.
Current usage metrics show cumulative count of Article Views (full-text article views including HTML views, PDF and ePub downloads, according to the available data) and Abstracts Views on Vision4Press platform.
Data correspond to usage on the plateform after 2015. The current usage metrics is available 48-96 hours after online publication and is updated daily on week days.
Initial download of the metrics may take a while.