Open Access
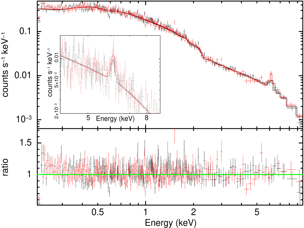
Fig. 8.

Download original image
Comparison between the PN (patter 0) spectra before (black) and after (red) the outburst. Each data set is shown with its corresponding best fit. The inset shows a zoom on the Fe line. For the sake of readability, we do not show the MOS1 and MOS2 spectra in this plot.
Current usage metrics show cumulative count of Article Views (full-text article views including HTML views, PDF and ePub downloads, according to the available data) and Abstracts Views on Vision4Press platform.
Data correspond to usage on the plateform after 2015. The current usage metrics is available 48-96 hours after online publication and is updated daily on week days.
Initial download of the metrics may take a while.