Fig. 1

Download original image
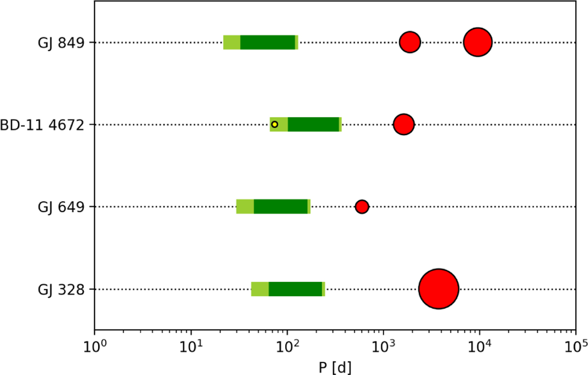
Orbital architecture of known planets in the observed systems. The giant planets in the sample are shown as red circles, with the symbol size proportional to the minimum planetary mass. The yellow circle shows the Neptune-mass planet BD-114672 c (Barbato et al. 2020). The conservative and optimistic limits of the habitable zone of each system (Kopparapu et al. 2013) are shown as thick dark green and light green bands, respectively.
Current usage metrics show cumulative count of Article Views (full-text article views including HTML views, PDF and ePub downloads, according to the available data) and Abstracts Views on Vision4Press platform.
Data correspond to usage on the plateform after 2015. The current usage metrics is available 48-96 hours after online publication and is updated daily on week days.
Initial download of the metrics may take a while.