Open Access
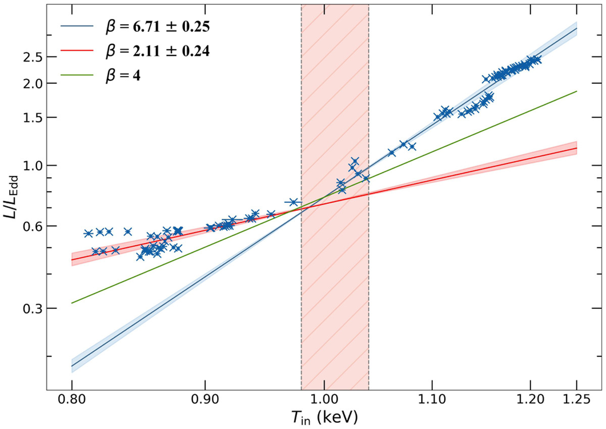
Fig. 3

Download original image
Luminosity-temperature (L-T) relation (L ∝ Tß) for super-Eddington observations with M2 values, which yields a best-fit power value of ß = 6·71 ± 0·25. The shaded red region denotes the disk state transition epoch found by Jin et al. (2023). For observations after MJD 59405.0, the best-fit power value is ß = 2·11 ± 0·24.
Current usage metrics show cumulative count of Article Views (full-text article views including HTML views, PDF and ePub downloads, according to the available data) and Abstracts Views on Vision4Press platform.
Data correspond to usage on the plateform after 2015. The current usage metrics is available 48-96 hours after online publication and is updated daily on week days.
Initial download of the metrics may take a while.