Open Access
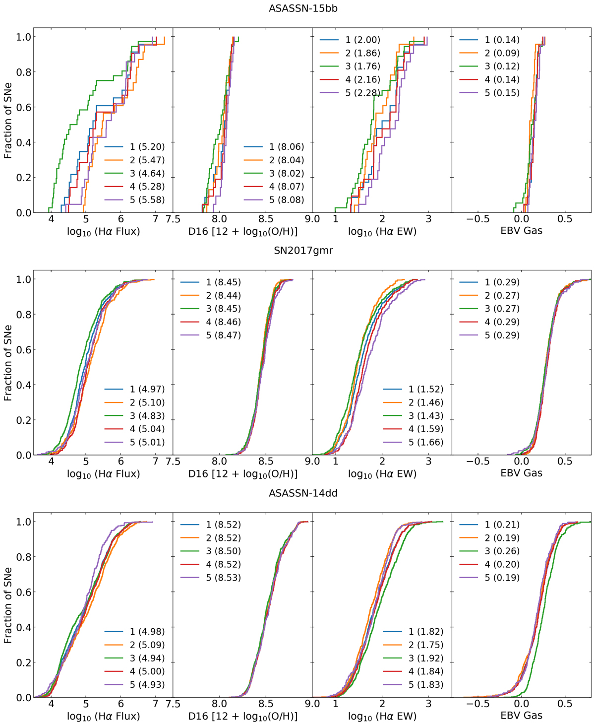
Fig. B.1.

Download original image
Cumulative distributions for the different tests with the objects ESO 381-IG048/ASASSN-15bb (top), NGC 0988/SN 2017gmr (middle), and NGC 2466/ASASSN-14dd (bottom). The tests were run using the parameters described in B.1.
Current usage metrics show cumulative count of Article Views (full-text article views including HTML views, PDF and ePub downloads, according to the available data) and Abstracts Views on Vision4Press platform.
Data correspond to usage on the plateform after 2015. The current usage metrics is available 48-96 hours after online publication and is updated daily on week days.
Initial download of the metrics may take a while.