Open Access
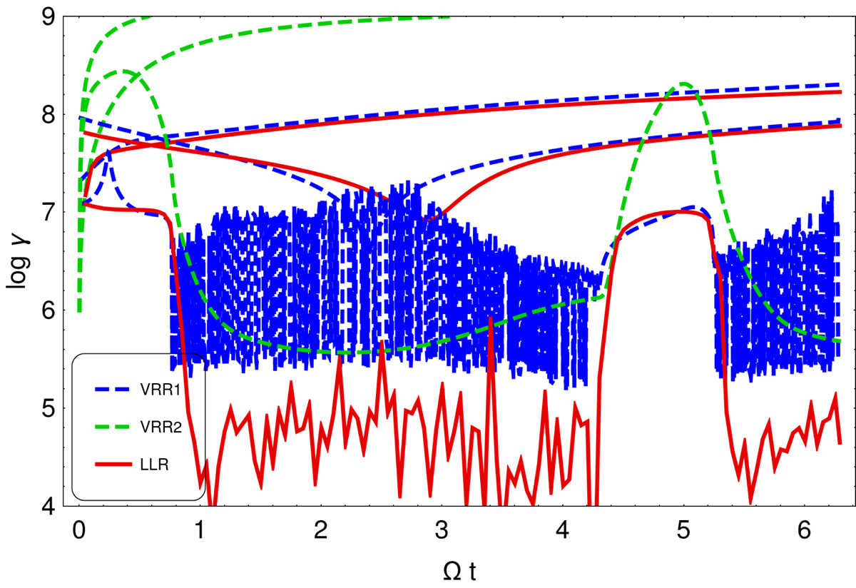
Fig. 5.

Download original image
Evolution of the Lorentz factor for the VRR approximation in dashed green and dashed blue lines compared to LLR in solid red lines. VRR2 stands for evaluation by integration in time of the Lorentz factor, whereas VRR1 stands for evaluation of the Lorentz factor by the curvature radius.
Current usage metrics show cumulative count of Article Views (full-text article views including HTML views, PDF and ePub downloads, according to the available data) and Abstracts Views on Vision4Press platform.
Data correspond to usage on the plateform after 2015. The current usage metrics is available 48-96 hours after online publication and is updated daily on week days.
Initial download of the metrics may take a while.