Fig. 11.

Download original image
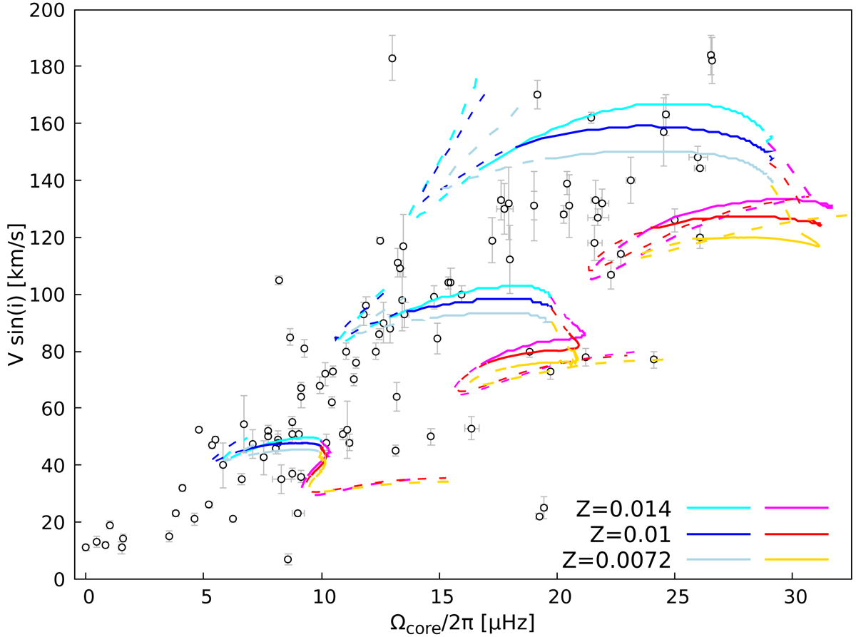
Same as Fig. 7, but showing effect of different initial metallicities. The cyan, blue, and light blue lines correspond to models computed with internal magnetic fields, whereas the magenta, red, and yellow lines correspond to models computed only with hydrodynamical processes, hence without internal magnetic fields. The models are computed with initial rotation rates of Ωcore/2π = 10, 20, and 30 μHz. The dashed and solid parts of the line have the same meaning as in Fig. 7.
Current usage metrics show cumulative count of Article Views (full-text article views including HTML views, PDF and ePub downloads, according to the available data) and Abstracts Views on Vision4Press platform.
Data correspond to usage on the plateform after 2015. The current usage metrics is available 48-96 hours after online publication and is updated daily on week days.
Initial download of the metrics may take a while.