Fig. 12.

Download original image
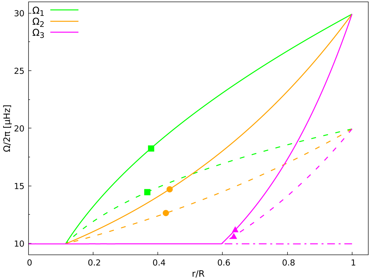
Rotation profiles given by Eqs. (8)–(10) at ZAMS for a 1.5 M⊙ model for three different initial rotation ratios between convective core and surface of Ωsurf/Ωcc = 1, 2, and 3 (dot-dashed, dashed, and solid lines, respectively). The bullets shown on the rotation profiles show the location where the angular velocity is equal to the mean value of the g-mode cavity computed with Eq. (6).
Current usage metrics show cumulative count of Article Views (full-text article views including HTML views, PDF and ePub downloads, according to the available data) and Abstracts Views on Vision4Press platform.
Data correspond to usage on the plateform after 2015. The current usage metrics is available 48-96 hours after online publication and is updated daily on week days.
Initial download of the metrics may take a while.