Fig. 14.

Download original image
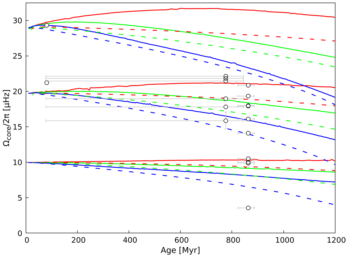
Core rotation rate as a function of age. The data points correspond to the γ Dor stars in our sample that belong to the open clusters NGC6811, NGC6866, and ASCC108. The lines correspond to our models with only hydrodynamical processes (solid) and models including internal magnetic fields (dashed). The different colours correspond to models with initial masses of M = 1.5 (red), 1.7 (green), and 1.9 (blue) M⊙, all computed at solar metallicity.
Current usage metrics show cumulative count of Article Views (full-text article views including HTML views, PDF and ePub downloads, according to the available data) and Abstracts Views on Vision4Press platform.
Data correspond to usage on the plateform after 2015. The current usage metrics is available 48-96 hours after online publication and is updated daily on week days.
Initial download of the metrics may take a while.