Fig. 12

Download original image
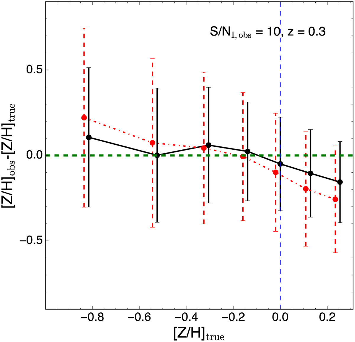
Median values of the difference between observed and true metallicity as a function of true metallicity values at z = 0.30 and S /NI,obs = 10. The black error bars show results for our analysis including all spectral indices, while the red dashed error bars represent the case using only the 5 absorption indices used in Gallazzi et al. (2005). The blue vertical dashed line marks the solar metallicity value ([Z/H] = 0). The green dashed line represents the 0 value of the y-axis.
Current usage metrics show cumulative count of Article Views (full-text article views including HTML views, PDF and ePub downloads, according to the available data) and Abstracts Views on Vision4Press platform.
Data correspond to usage on the plateform after 2015. The current usage metrics is available 48-96 hours after online publication and is updated daily on week days.
Initial download of the metrics may take a while.