Fig. 5

Download original image
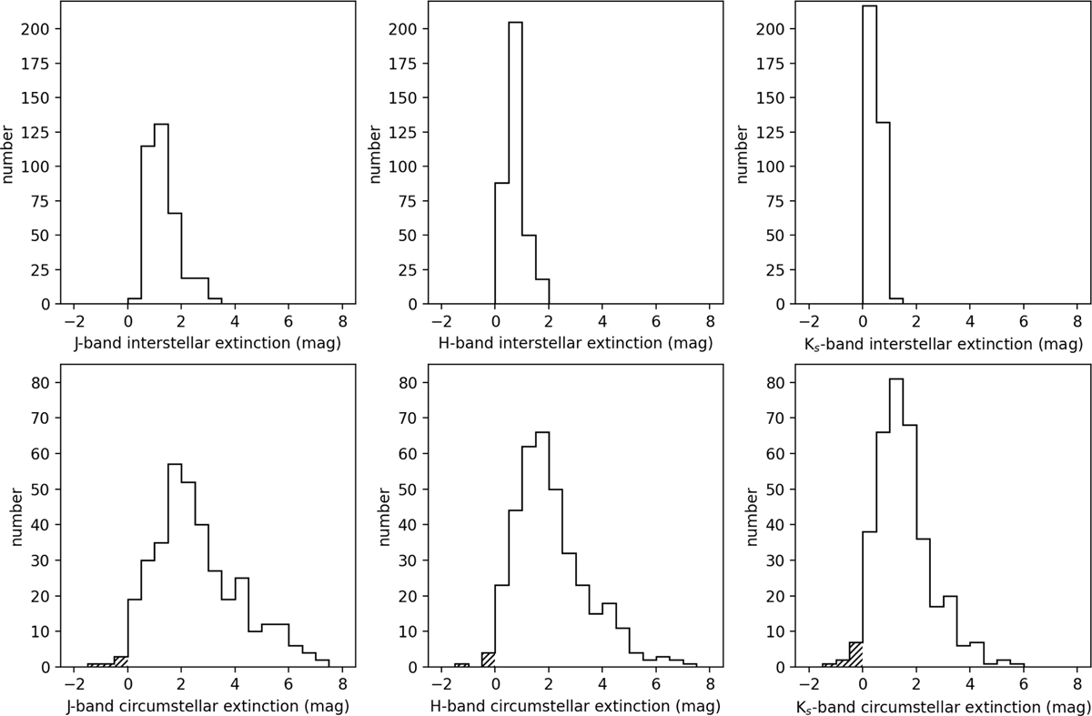
Separate interstellar and circumstellar extinctions as derived from period magnitude relations and our RGB-based interstellar extinction calculations. Our methods give unphysical (i.e., negative) circumstellar extinction values for about 3% of the sample in the Ks-band (and 1% in J and H), marked in the hashed region of the histogram. Unphysical values could be caused by our distance assumption being incorrect and/or by the fact that we use single-epoch magnitudes instead of averages. The high-end tails of the circumstellar distributions are likely affected by the same issues. However, on a population scale, our methods give an idea of the range and extent of circumstellar extinction.
Current usage metrics show cumulative count of Article Views (full-text article views including HTML views, PDF and ePub downloads, according to the available data) and Abstracts Views on Vision4Press platform.
Data correspond to usage on the plateform after 2015. The current usage metrics is available 48-96 hours after online publication and is updated daily on week days.
Initial download of the metrics may take a while.