Fig. 5.

Download original image
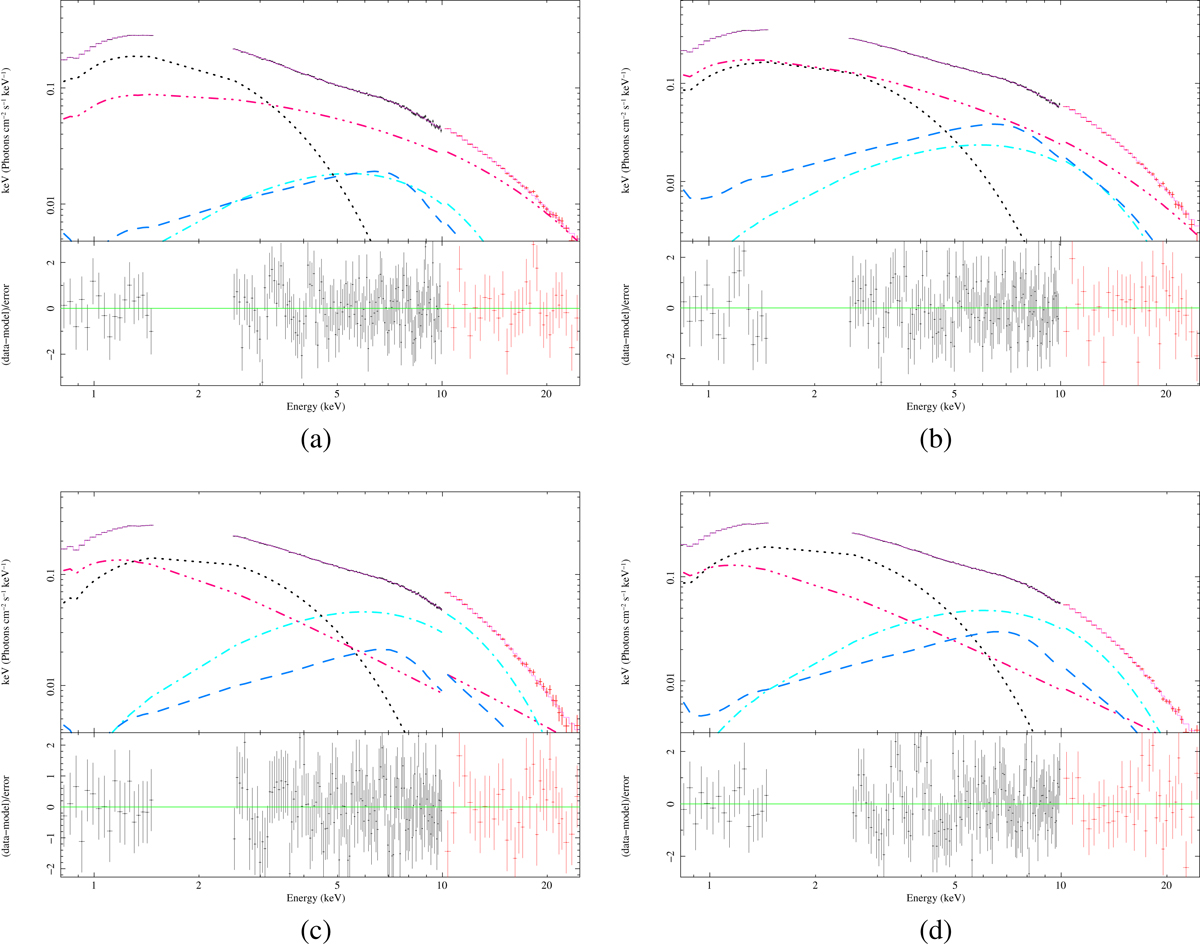
Fitting results with the reflection model BBODY+DISKBB+CUTOFFPL+RELCONV×BBREFL for the XMM-Newton/RXTE observations of 4U 1636–53 in soft spectral states. The fitted spectra and the individual model components (main panel), and the residuals in terms of sigma (subpanel) are shown. The components BBODY, DISKBB, CUTOFFPL, BBREF,L and the sum of all these model components are plotted with a cyan dash-dotted line, black dotted line, red dash-triple-dotted line, blue dashed line, and purple line, respectively. (a) Obs X2. (b) Obs X3. (c) Obs X4. (d) Obs X5.
Current usage metrics show cumulative count of Article Views (full-text article views including HTML views, PDF and ePub downloads, according to the available data) and Abstracts Views on Vision4Press platform.
Data correspond to usage on the plateform after 2015. The current usage metrics is available 48-96 hours after online publication and is updated daily on week days.
Initial download of the metrics may take a while.