Open Access
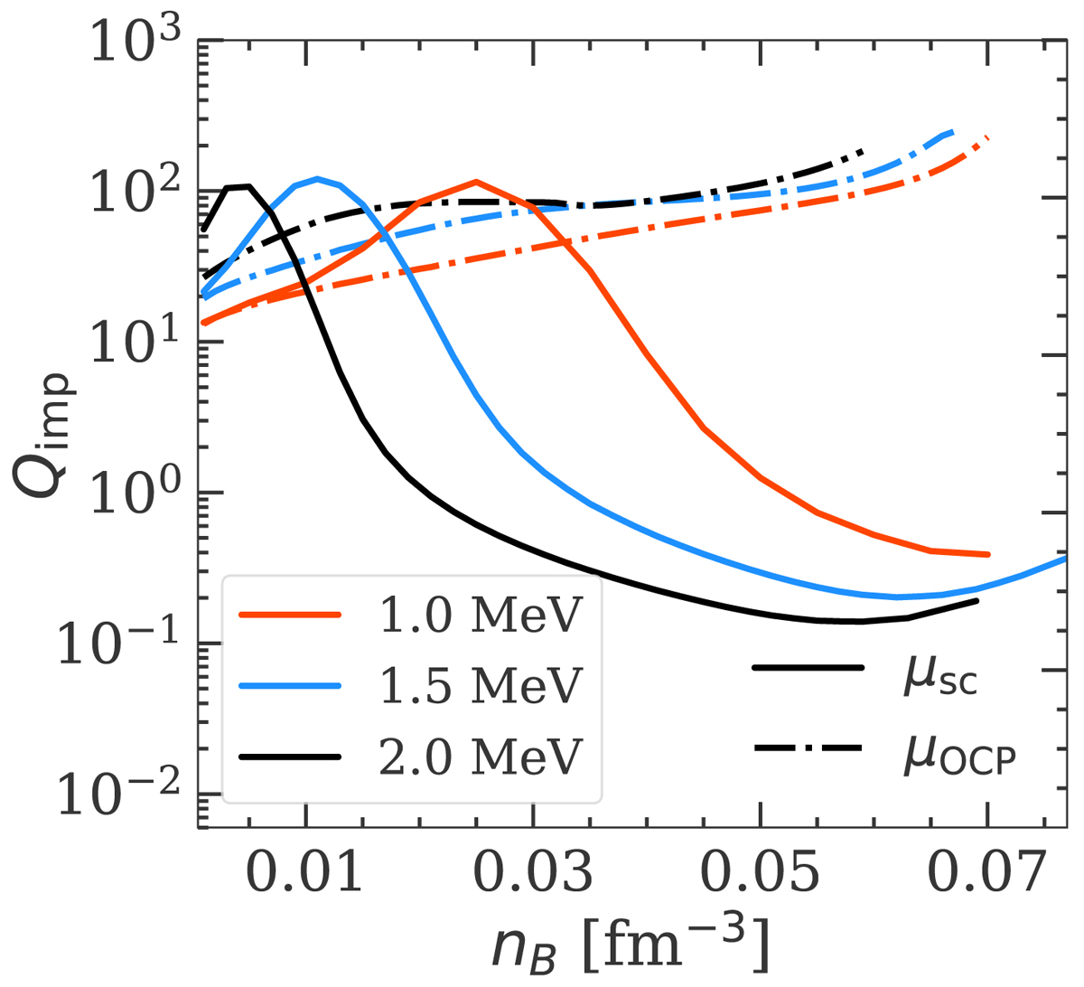
Fig. 14.

Download original image
Impurity parameter Qimp as a function of the baryon density nB in the inner crust for kBT = 1.0 MeV (red lines), kBT = 1.5 MeV (blue lines), and kBT = 2.0 MeV (black lines) in the full MCP calculation (solid lines). For comparison, results obtained with the perturbative MCP (dash-dotted lines) are also shown.
Current usage metrics show cumulative count of Article Views (full-text article views including HTML views, PDF and ePub downloads, according to the available data) and Abstracts Views on Vision4Press platform.
Data correspond to usage on the plateform after 2015. The current usage metrics is available 48-96 hours after online publication and is updated daily on week days.
Initial download of the metrics may take a while.