Fig. 15.

Download original image
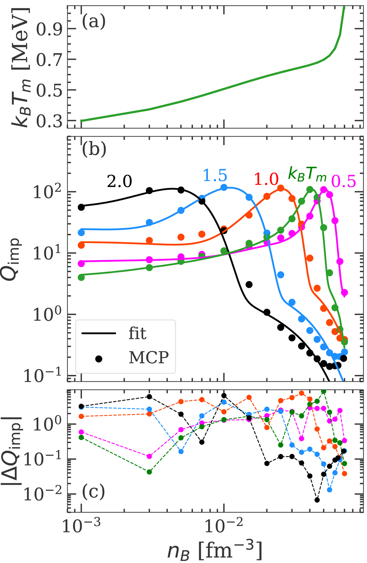
Impurity parameter at different temperatures. Panel a: crystallisation temperature kBTm calculated using Eq. (49) as a function of the baryon density nB. Panel b: impurity parameter Qimp in the fully self-consistent MCP calculation as a function of nB evaluated at the crystallisation temperature kBTm (green points) and at four fixed temperatures: kBT = 0.5 MeV (magenta points), kBT = 1.0 MeV (red points), kBT = 1.5 MeV (blue points), and kBT = 2.0 MeV (black points). Solid lines are obtained from the fit given by Eq. (50). Panel c: absolute error in the fitting formula (|ΔQimp| = |calculated Qimp – fit|).
Current usage metrics show cumulative count of Article Views (full-text article views including HTML views, PDF and ePub downloads, according to the available data) and Abstracts Views on Vision4Press platform.
Data correspond to usage on the plateform after 2015. The current usage metrics is available 48-96 hours after online publication and is updated daily on week days.
Initial download of the metrics may take a while.