Fig. 3.

Download original image
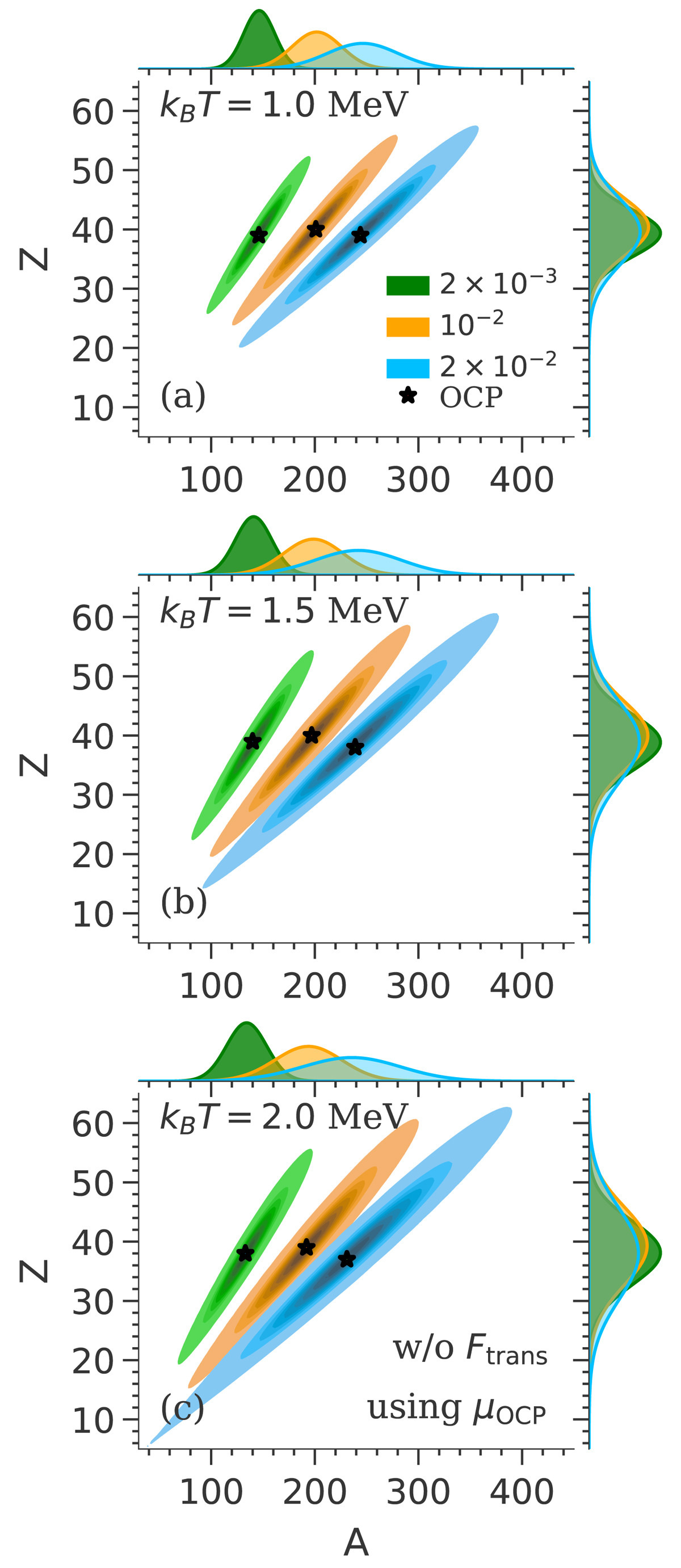
Joint distributions of the cluster proton number Z and mass number A for the same temperatures as in Fig. 2 and for three selected input baryon densities: nB = 2 × 10−3 fm−3 (green contours), nB = 10−2 fm−3 (orange contours), and nB = 2 × 10−2 fm−3 (blue contours), in a perturbative MCP calculation. The black stars indicate the OCP solution. The translational free energy is not included in the calculations.
Current usage metrics show cumulative count of Article Views (full-text article views including HTML views, PDF and ePub downloads, according to the available data) and Abstracts Views on Vision4Press platform.
Data correspond to usage on the plateform after 2015. The current usage metrics is available 48-96 hours after online publication and is updated daily on week days.
Initial download of the metrics may take a while.