Fig. 8.

Download original image
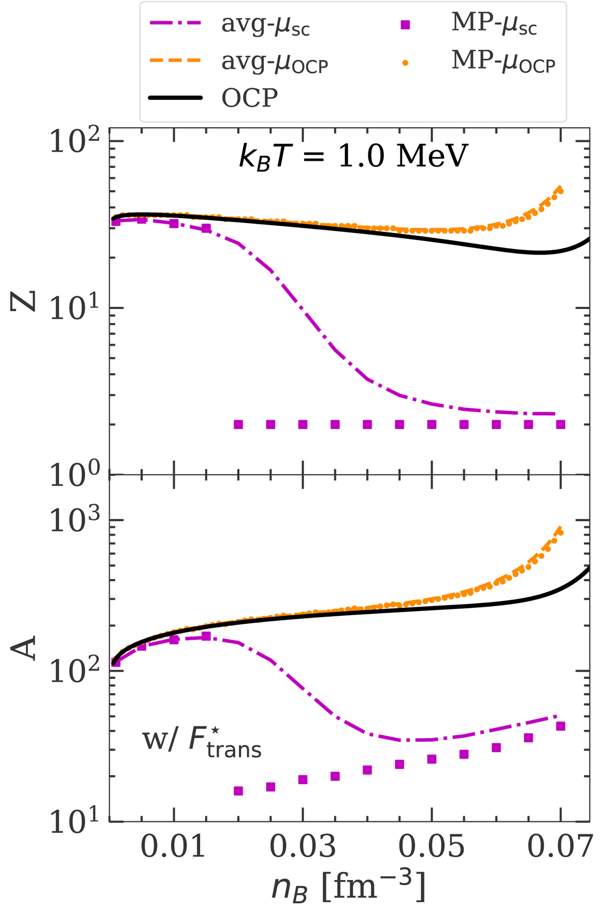
Average (dash-dotted violet lines, labelled ‘avg-μsc’) and most probable (violet squares, labelled ‘MP-μsc’) values of the cluster proton number Z (top panel) and mass number A (lower panel) in the self-consistent MCP calculations as a function of the total baryon density nB at kBT = 1 MeV. For comparison, the OCP solutions (black solid lines), as well as the average (orange dashed lines labelled ‘avg-μOCP’) and most probable (orange dots labelled ‘MP-μOCP’) values in the perturbative MCP are also plotted.
Current usage metrics show cumulative count of Article Views (full-text article views including HTML views, PDF and ePub downloads, according to the available data) and Abstracts Views on Vision4Press platform.
Data correspond to usage on the plateform after 2015. The current usage metrics is available 48-96 hours after online publication and is updated daily on week days.
Initial download of the metrics may take a while.