Open Access
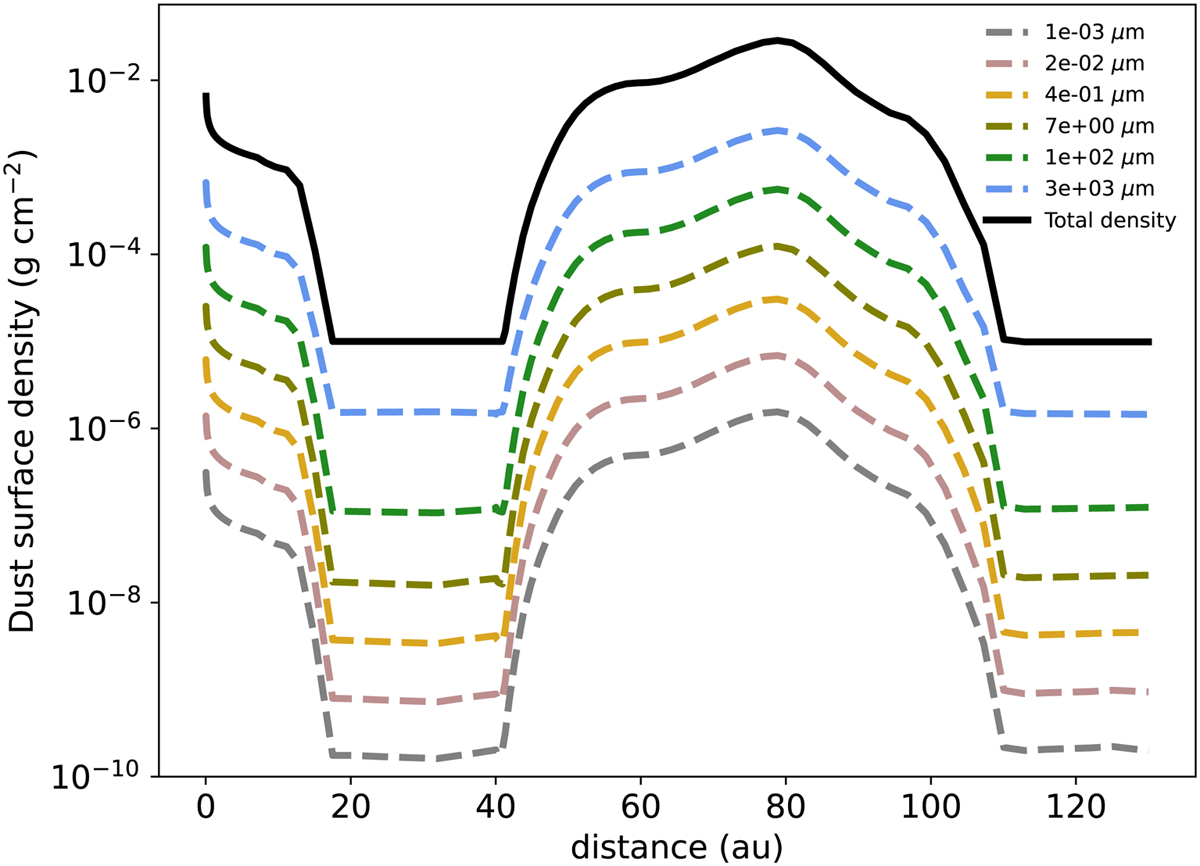
Fig. A.1

Download original image
Dust surface density profiles for selected grain sizes (dashed lines) and the total profile resulting from adding up the density contained in each dust size bin (continuous line).
Current usage metrics show cumulative count of Article Views (full-text article views including HTML views, PDF and ePub downloads, according to the available data) and Abstracts Views on Vision4Press platform.
Data correspond to usage on the plateform after 2015. The current usage metrics is available 48-96 hours after online publication and is updated daily on week days.
Initial download of the metrics may take a while.