Fig. 1

Download original image
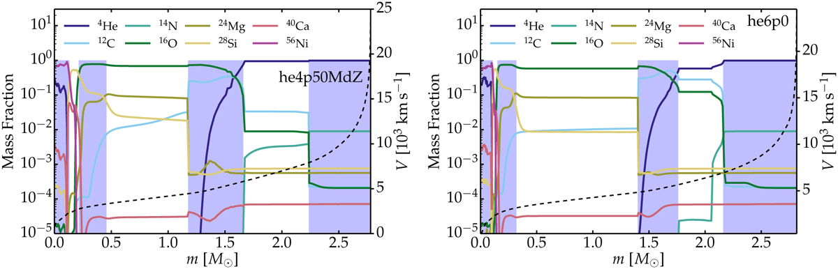
Comparison of the he4p5MdZ (left: MpreSN = 4.5 M⊙) and he6p0 (right: MpreSN = 4.44 M⊙) unmixed ejecta models. The alternating shades of blue and white indicate the successive shells in the original unmixed ejecta. Starting from the innermost ejecta layer, one progresses outwards through the Fe/He, Si/S, O/Si, O/Ne/Mg, O/C, He/C, and He/N shells.
Current usage metrics show cumulative count of Article Views (full-text article views including HTML views, PDF and ePub downloads, according to the available data) and Abstracts Views on Vision4Press platform.
Data correspond to usage on the plateform after 2015. The current usage metrics is available 48-96 hours after online publication and is updated daily on week days.
Initial download of the metrics may take a while.