Open Access
Fig. A.4

Download original image
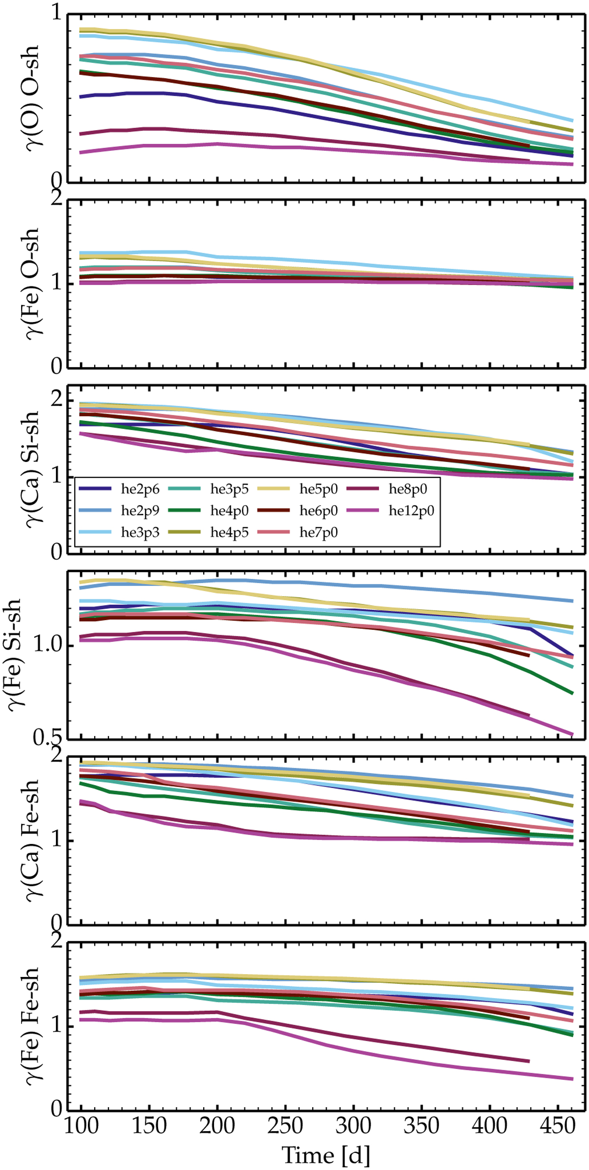
Evolution of the ionization of important species in the O-rich, Si-rich, and Fe-rich shells in models he2p6 to he12p0. The ionization in the He-rich shell (not shown here) is roughly constant in time and such that He is mostly neutral, N is mostly N+, and Fe is mostly Fe2+.
Current usage metrics show cumulative count of Article Views (full-text article views including HTML views, PDF and ePub downloads, according to the available data) and Abstracts Views on Vision4Press platform.
Data correspond to usage on the plateform after 2015. The current usage metrics is available 48-96 hours after online publication and is updated daily on week days.
Initial download of the metrics may take a while.