Open Access
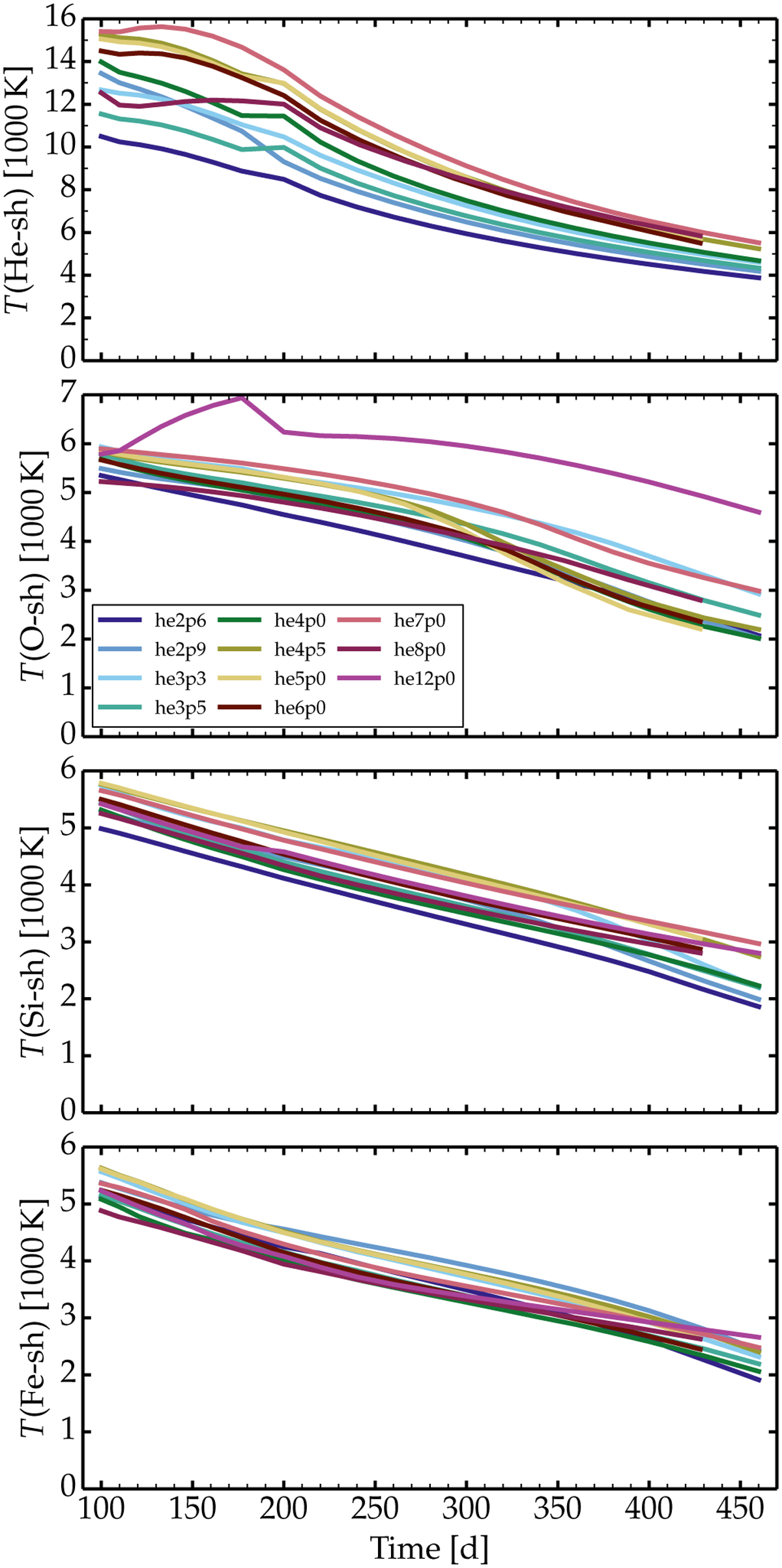
Fig. A.5

Download original image
Evolution of the temperature of important species in the He-rich, O-rich, Si-rich, and Fe-rich shells in models he2p6 to he12p0 (the he12p0 model does not have a He-rich shell and thus no temperature is output for that model in the top panel).
Current usage metrics show cumulative count of Article Views (full-text article views including HTML views, PDF and ePub downloads, according to the available data) and Abstracts Views on Vision4Press platform.
Data correspond to usage on the plateform after 2015. The current usage metrics is available 48-96 hours after online publication and is updated daily on week days.
Initial download of the metrics may take a while.