Open Access
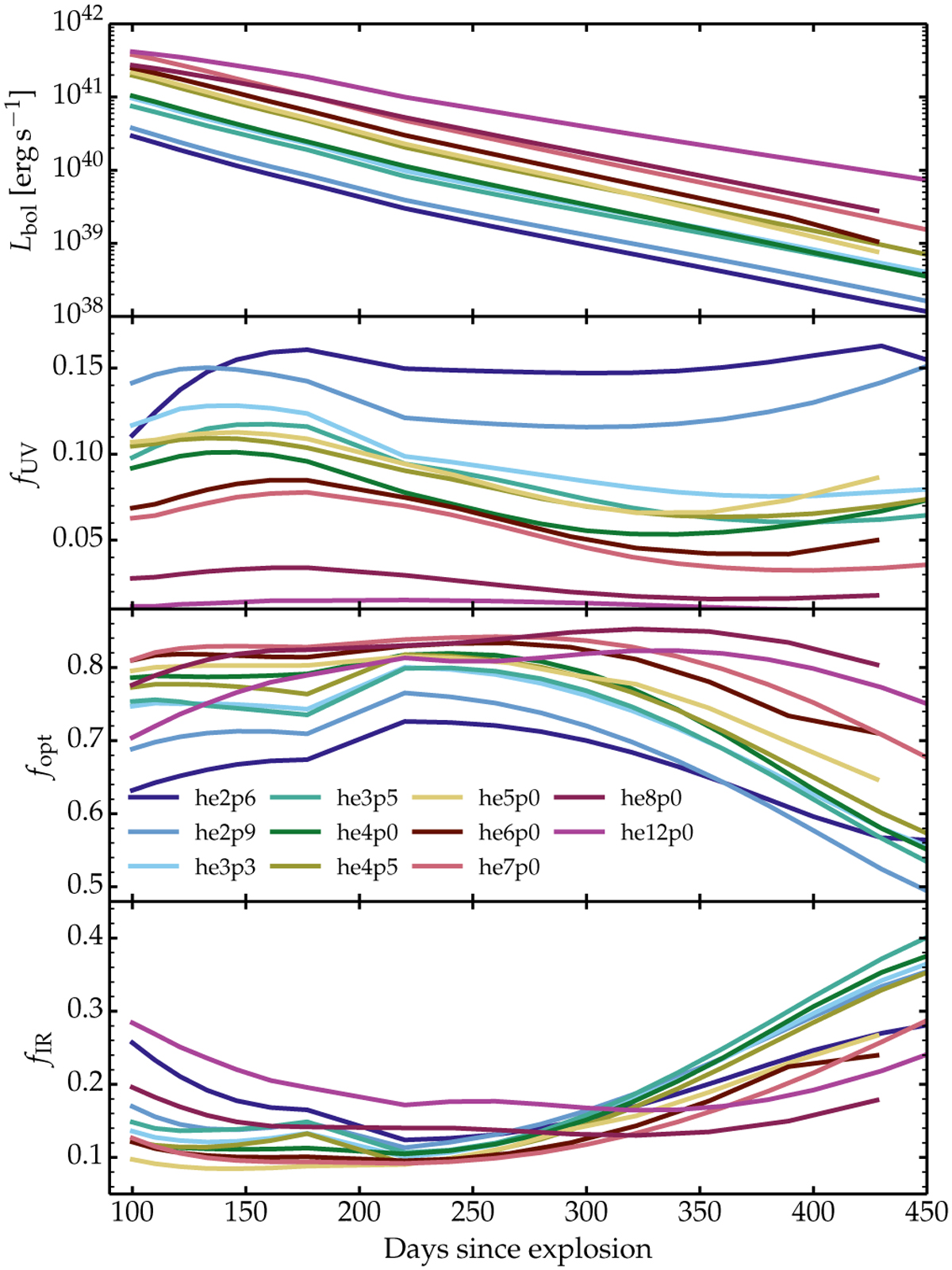
Fig. A.1

Download original image
Evolution of the bolometric luminosity and the fraction of that luminosity falling in the UV, the optical, and the IR ranges as a function of time for the He-star explosion models from progenitors evolved with a nominal mass loss (see Woosley 2019; Ertl et al. 2020; D21).
Current usage metrics show cumulative count of Article Views (full-text article views including HTML views, PDF and ePub downloads, according to the available data) and Abstracts Views on Vision4Press platform.
Data correspond to usage on the plateform after 2015. The current usage metrics is available 48-96 hours after online publication and is updated daily on week days.
Initial download of the metrics may take a while.