Open Access
Fig. 3.

Download original image
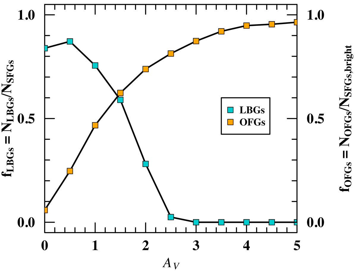
Fraction of LBGs (left axis) and fraction of OFGs (right axis) as a function of increasing AV (see main text, for details on the calculation), where NSFG is the number of galaxies in the parent SFG sample and NSFGs, bright is the number of galaxies in the parent SFG sample with F444W < 25 mag.
Current usage metrics show cumulative count of Article Views (full-text article views including HTML views, PDF and ePub downloads, according to the available data) and Abstracts Views on Vision4Press platform.
Data correspond to usage on the plateform after 2015. The current usage metrics is available 48-96 hours after online publication and is updated daily on week days.
Initial download of the metrics may take a while.