Open Access
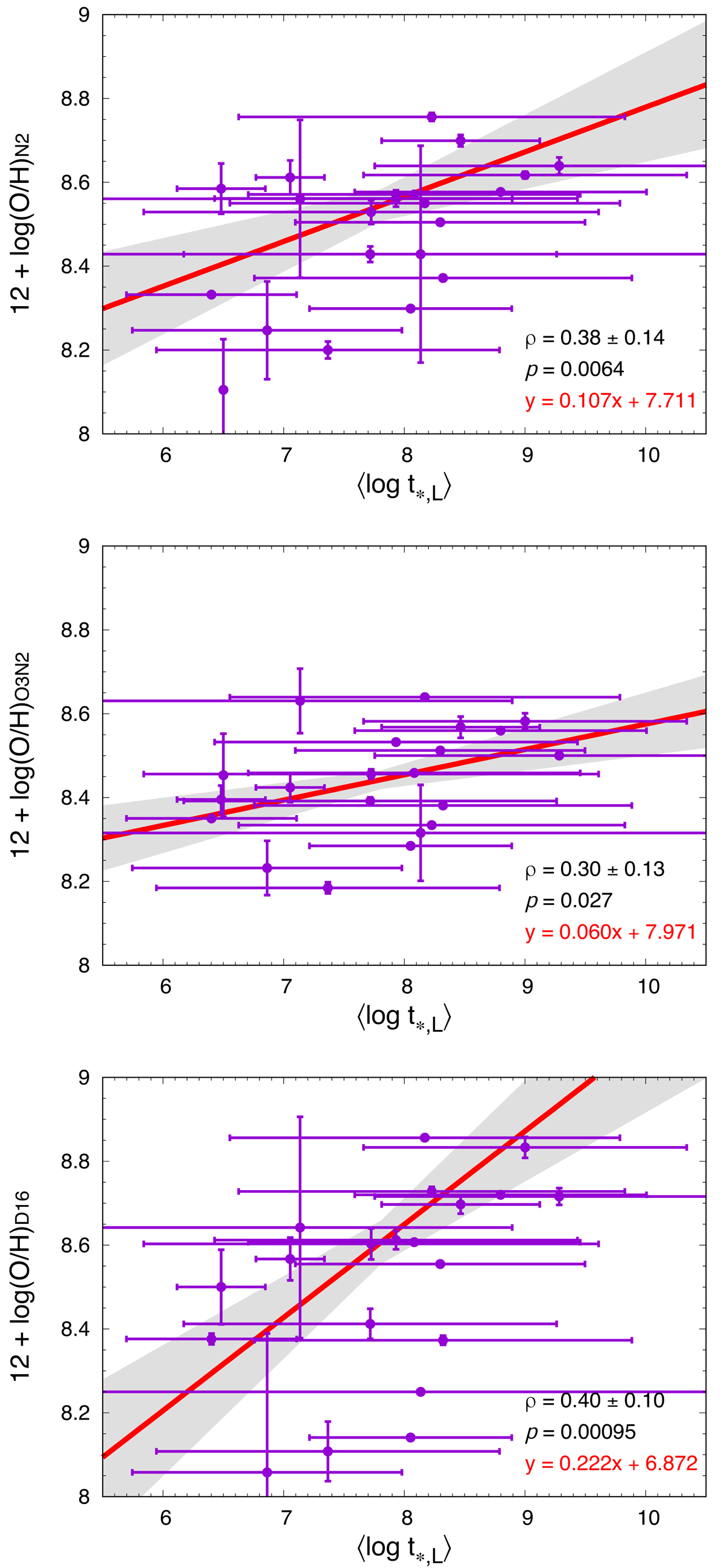
Fig. 3.

Download original image
Correlation between the average light-weighted stellar population age (⟨log t*, L⟩) and the metallicity (12 + log(O/H)) for the three different metallicity estimators (N2 at the top, O3N2 in the middle, and D16 at the bottom). See the caption of Fig. 1 for details.
Current usage metrics show cumulative count of Article Views (full-text article views including HTML views, PDF and ePub downloads, according to the available data) and Abstracts Views on Vision4Press platform.
Data correspond to usage on the plateform after 2015. The current usage metrics is available 48-96 hours after online publication and is updated daily on week days.
Initial download of the metrics may take a while.