Fig. 1

Download original image
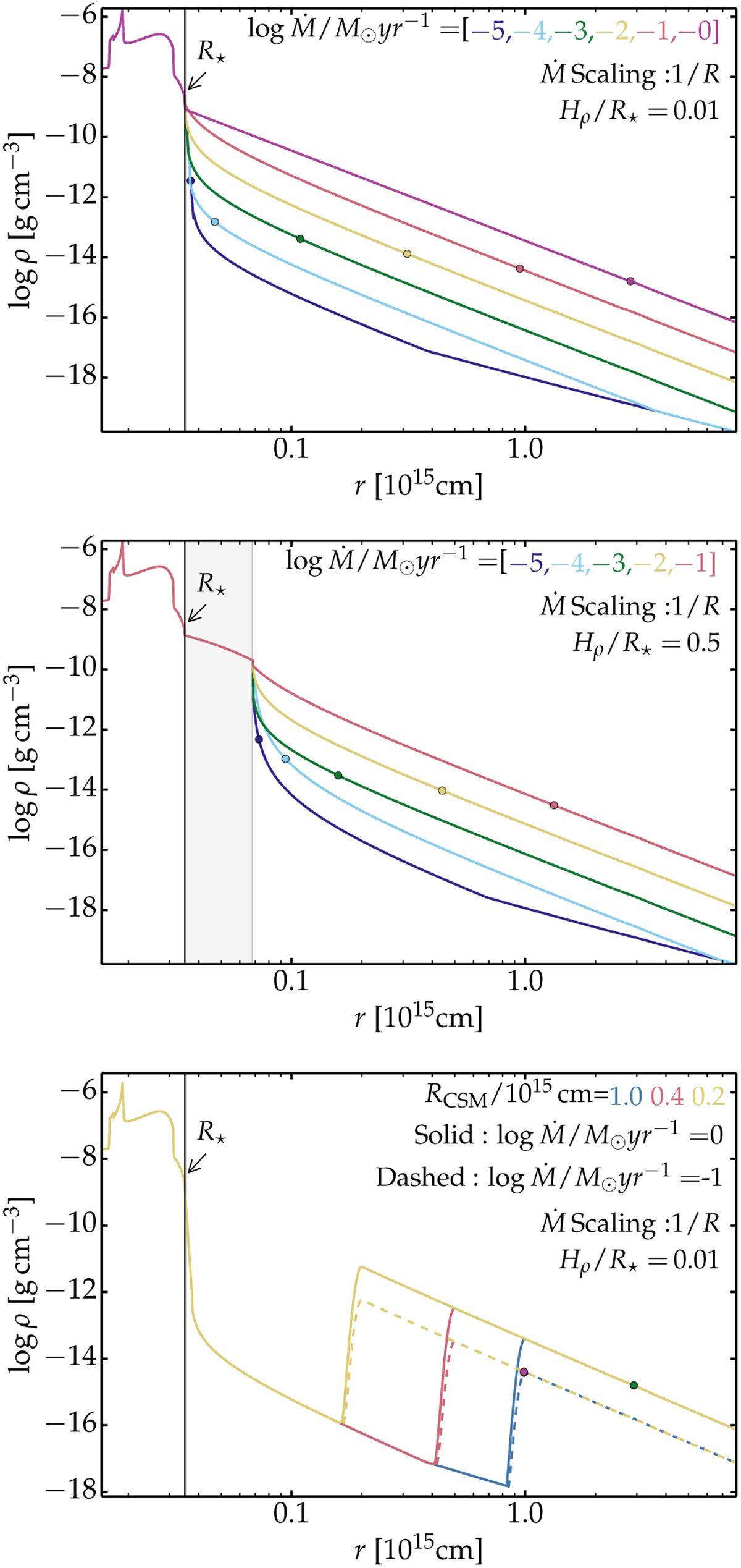
Initial density structures corresponding to Case 1 (top), Case 2 (middle) and Case 3 (bottom). In each panel, we indicate the location of the stellar photosphere (arrow with R⋆ label and vertical line) of the original stellar model. The shaded area for Case (2) corresponds to the dense CSM characterized by a large density scale height before transitioning to a wind solution. The dot marks the location of the photosphere assuming the material is ionized (κ = 0.34 cm2 g−1). For details, see Sect. 2.1.
Current usage metrics show cumulative count of Article Views (full-text article views including HTML views, PDF and ePub downloads, according to the available data) and Abstracts Views on Vision4Press platform.
Data correspond to usage on the plateform after 2015. The current usage metrics is available 48-96 hours after online publication and is updated daily on week days.
Initial download of the metrics may take a while.