Fig. 5

Download original image
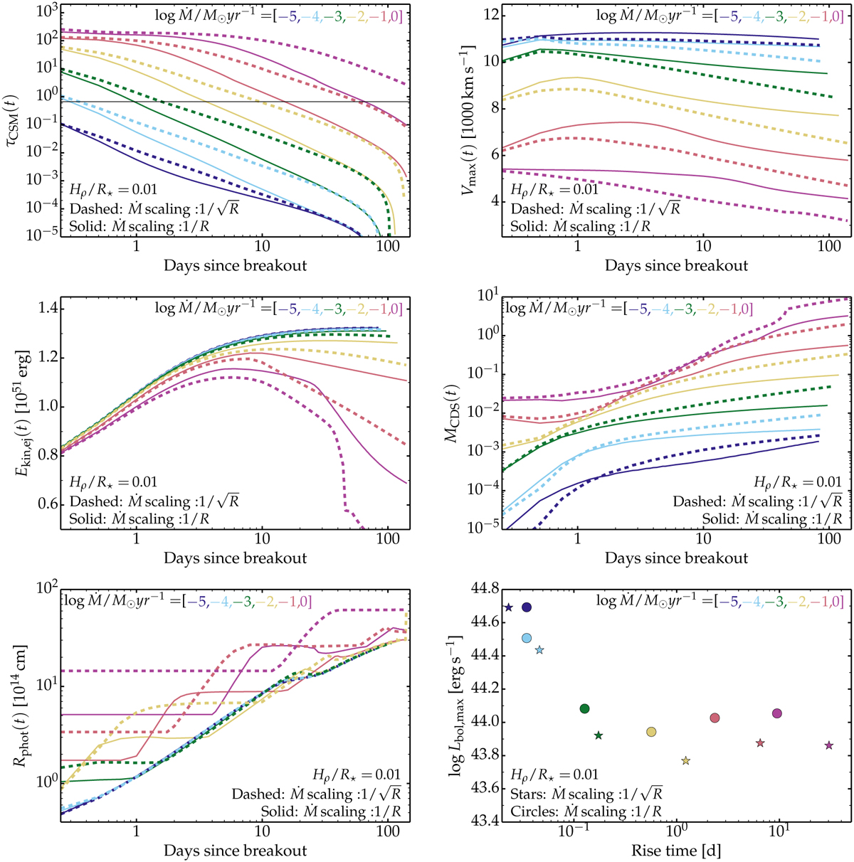
Properties of simulations for progenitors with wind-like CSM covering a range of mass-loss rates and different additional radial scaling. We show the time evolution of the electron-scattering optical depth of the unshocked CSM (top left), the time evolution of the maximum ejecta velocity (top right), the time evolution of the ejecta kinetic energy (middle left), the time evolution of the mass contained in the CDS (middle right), the time evolution of the photospheric radius (bottom left), and the correlation between the time and luminosity at bolometric maximum (bottom right).
Current usage metrics show cumulative count of Article Views (full-text article views including HTML views, PDF and ePub downloads, according to the available data) and Abstracts Views on Vision4Press platform.
Data correspond to usage on the plateform after 2015. The current usage metrics is available 48-96 hours after online publication and is updated daily on week days.
Initial download of the metrics may take a while.