Open Access
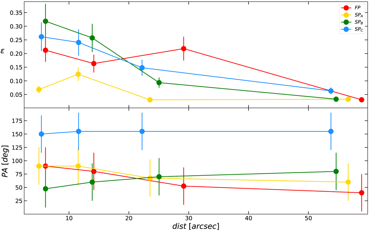
Fig. 10.

Download original image
Ellipticity and position angle (top and bottom panel, respectively) of the isodensity contours shown in Fig. 9 for the different sub populations, as a function of the radial distance from the cluster center. The angles are measured counterclockwise with the origin set along the east direction.
Current usage metrics show cumulative count of Article Views (full-text article views including HTML views, PDF and ePub downloads, according to the available data) and Abstracts Views on Vision4Press platform.
Data correspond to usage on the plateform after 2015. The current usage metrics is available 48-96 hours after online publication and is updated daily on week days.
Initial download of the metrics may take a while.