Open Access
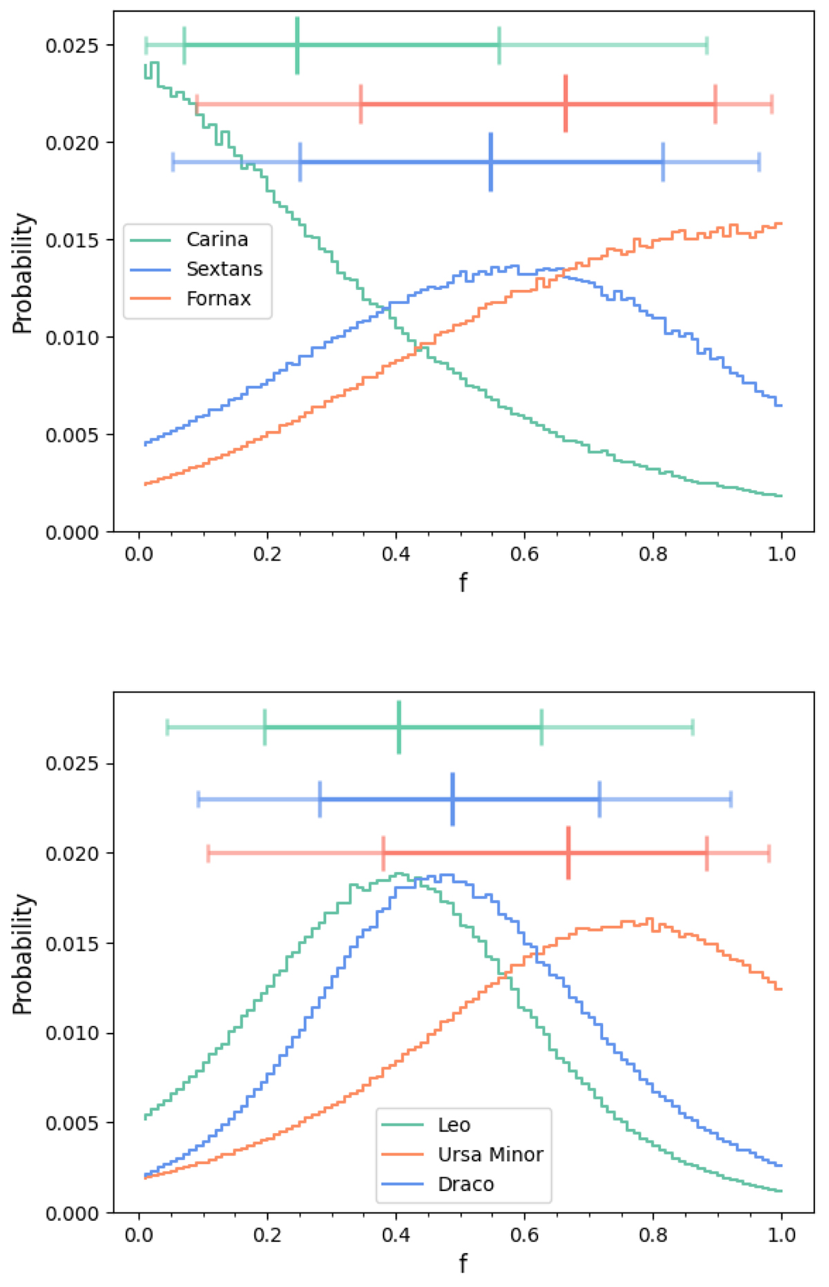
Fig. 13.

Download original image
PDFs on f for the MW dSphs indicated in the legend from our re-analysis of literature datasets, using the new method proposed in this work. The median and 1σ and 2σ confidence levels are indicated with horizontal lines with ticks.
Current usage metrics show cumulative count of Article Views (full-text article views including HTML views, PDF and ePub downloads, according to the available data) and Abstracts Views on Vision4Press platform.
Data correspond to usage on the plateform after 2015. The current usage metrics is available 48-96 hours after online publication and is updated daily on week days.
Initial download of the metrics may take a while.