Open Access
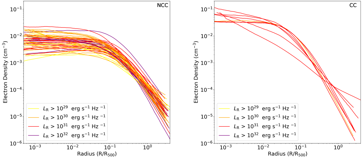
Fig. 11.

Download original image
Electron density profiles of the cluster sample. Left panel: electron density profiles of all non-cool-core clusters vs. the radius scaled to R500. The colors of the profiles represent the radio luminosity of the central radio source of the corresponding cluster. Right panel: corresponding plot for the cool-core clusters.
Current usage metrics show cumulative count of Article Views (full-text article views including HTML views, PDF and ePub downloads, according to the available data) and Abstracts Views on Vision4Press platform.
Data correspond to usage on the plateform after 2015. The current usage metrics is available 48-96 hours after online publication and is updated daily on week days.
Initial download of the metrics may take a while.